Background and overview[1]
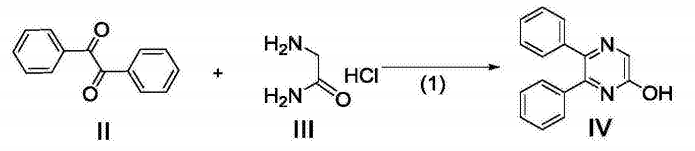
5,6-Diphenyl-2-hydroxypyrazine is a pharmaceutical intermediate that can be prepared in one step from benzoyl and aminoacetamide hydrochloride. There are reports in the literature that 5,6-diphenyl-2-hydroxypyrazine can be used to prepare IP receptor agonists (Compound I). The diseases that IP receptor agonists can treat mainly include pulmonary arterial hypertension (PAH), PAH related to various diseases, arteriosclerosis obliterans, coronary artery disease, myocardial infarction, transient ischemic attack, colic, stroke, ischemia Reperfusion injury, restenosis, atrial fibrillation, intermittent claudication, Raynaud’s phenomenon, varicose veins, thrombosis, diabetes, diabetic nephropathy, hypertension, hyperlipidemia, cerebral infarction, rheumatoid arthritis, chronic obstructive pulmonary disease Disease (COPD), etc.

Preparation[1]

Under nitrogen protection, add benzoyl (2.10g, 0.01mol), aminoacetamide hydrochloride (1.32g, 0.012mol) and NaOH (0.96g, 0.024mol) in sequence to 20mL of methanol solvent , heated to reflux for 3 to 4 hours, and the reaction was monitored by LC-MS. The reaction of the raw materials was complete. Cool the reaction solution to 0~5°C, then add 12N HCl (1.25mL) solution dropwise, and stir the reaction solution at room temperature for 30 minutes, then add 1g sodium bicarbonate and 13mL water, filter the reaction solution, add water (5mL) and methanol (5mL), the solids were washed separately and dried under vacuum to obtain 2.20g of white solid 5,6-diphenyl-2-hydroxypyrazine, yield: 88.7%, ESI-MS: m/z=249.2(M+H)+.
Main reference materials
[1] [Chinese invention] CN201810877296.3 Preparation method of diphenylpyrazine compound

微信扫一扫打赏
