Preparation of 5,6-diphenyl-2-hydroxypyrazine_Kain Industrial Additive
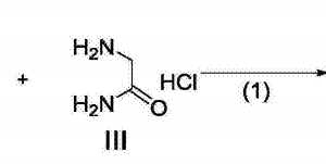
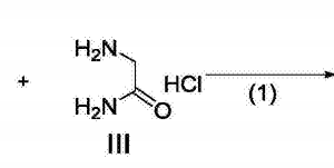
Background and overview[1] 5,6-Diphenyl-2-hydroxypyrazine is a pharmaceutical intermediate that can be prepared in one step from benzoyl and aminoacetamide hydrochloride. There are reports in the lite…
Preparation of 5,12-bis(phenylethynyl)tetracene_Kain Industrial Additive
Background and overview[1] 5,12-Bis(phenylethynyl)tetracene is an organic synthesis intermediate and pharmaceutical intermediate, which can be used in laboratory research and development processes and…
Preparation of 5,12-bis(phenylethynyl)tetracene_Kain Industrial Additive
Background and overview[1] 5,12-Bis(phenylethynyl)tetracene is an organic synthesis intermediate and pharmaceutical intermediate, which can be used in laboratory research and development processes and…
Preparation of 5,6-diphenyl-2-hydroxypyrazine_Kain Industrial Additive
Background and overview[1] 5,6-Diphenyl-2-hydroxypyrazine is a pharmaceutical intermediate that can be prepared in one step from benzoyl and aminoacetamide hydrochloride. There are reports in the lite…

