
Structural formula
| Business number | 01ZN |
|---|---|
| Molecular formula | C7H8ClNO3S |
| Molecular weight | 221.66 |
| label |
2-Amino-5-chloro-p-toluenesulfonic acid, 3-amino-4-sulfonic acid-6-chlorotoluene; 3-amino-6-chlorotoluene-4-sulfonic acid; 6-chloro-3-aminotoluene-4-sulfonic acid; CLT acid, 2-Amino-5-chloro-p-toluenesulfonic acid, aromatic sulfur compounds, Raw materials and intermediates used in ink |
Numbering system
CAS number:88-53-9
MDL number:MFCD00043924
EINECS number:205-020-5
RTECS number:None
BRN number:None
PubChem ID:None
Physical property data
1. Character: white crystal
2. Density (g/mL, 25/4℃): Undetermined
3. Relative vapor density (g/mL, air =1): Undetermined
4. Melting point (ºC): Undetermined
5. Boiling point (ºC, normal pressure): Undetermined
6. Boiling point (ºC, 5.2kPa): Not determined
7. Refractive index: Not determined
8. Flash point (ºC): Not determined
9. Specific rotation (º): Undetermined
10. Autoignition point or ignition temperature (ºC): Undetermined
11. Vapor pressure (kPa, 25ºC): Undetermined
12. Saturated vapor pressure (kPa, 60ºC): Undetermined
13. Heat of combustion (KJ/mol): Undetermined
14. Critical temperature ( ºC): Undetermined
15. Critical pressure (KPa): Undetermined
16. Log value of oil-water (octanol/water) partition coefficient: Undetermined
17. The upper limit of the explosion (%, v/v): No determination
18. The lower limit of the explosion (%, v/v): No determined
19. Solubility: Insoluble in water.
Toxicological data
None
Ecological data
None
Molecular structure data
1. Molar refractive index: 50.17
2. Molar volume (cm3/mol): 142.7
3. Isotonic specific volume (90.2K ): 403.6
4. Surface tension (dyne/cm): 63.9
5. Polarizability (10-24cm3): 19.88
Compute chemical data
1. Calculation of hydrophobic parametersReference value (XlogP): 1.5
2. Number of hydrogen bond donors: 2
3. Number of hydrogen bond acceptors: 4
4. Rotable Number of chemical bonds: 1
5. Number of tautomers: None
6. Topological molecule polar surface area 88.8
7. Number of heavy atoms: 13
8. Surface charge: 0
9. Complexity: 274
10. Number of isotope atoms: 0
11. Determine Number of atomic stereocenters: 0
12. Uncertain number of atomic stereocenters: 0
13. Determined number of chemical bond stereocenters: 0
14 .The number of uncertain chemical bond stereocenters: 0
15. The number of covalent bond units: 1
Properties and stability
Poisonous. For protection methods, see 4-chloroaniline-3-sulfonic acid.
Storage method
This product should be stored in a sealed, cool, dry place.
Packaged in wooden barrels or iron barrels lined with plastic bags. Store in a cool, ventilated, dry place, protected from heat and moisture. Store and transport according to regulations on toxic chemicals.
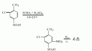
Synthesis method
Nitrate 3-chloro-4-toluenesulfonic acid with nitric acid below 30°C, react for 3 hours and then salt out with saturated brine at 100°C to obtain 2-nitro-5-chloro-p-toluenesulfonic acid: Add 2-nitro-5-chloro-p-toluenesulfonic acid to water, add acetic acid and iron powder, and reduce under boiling conditions. Filter out the iron powder from the reaction, add hydrochloric acid to make the filtrate acidic, and crystallize 2-amino-5-chloro-p-toluenesulfonic acid.


Purpose
Dye intermediates. Used to manufacture plastic red, reactive golden KM-G, reactive yellow M-3RE, rubber red LC, red lake C, Lisol red 2G, golden red C, etc. Also used to prepare ink.

微信扫一扫打赏
