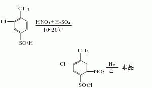
2-Amino-5-chloro-4-methylbenzenesulfonic acid

Structural formula Business number 01ZN Molecular formula C7H8ClNO3S Molecular weight 221.66 label 2-Amino-5-chloro-p-toluenesulfonic acid, 3-amino-4-sulfonic acid-6-chlorotoluene; 3-amino-6-chlorotol…

Contact Us

Contact us

+86 - 152 2121 6908

Online consultation: QQ交谈

E-mail: sales@newtopchem.com

Working hours: Monday to Friday, 9:00-17:30, closed on holidays
Follow wechat
Scan wechat and follow us

Scan wechat and follow us

Back to top
Home
E-mail
Products
Search