Background and overview[1]
1-(4-methoxyphenyl)-7-oxo-6-[4-(2-oxopiperidin-1-yl)phenyl]-4,5,6,7-tetra Hydro-1H-pyrazolo[3,4-C]pyridine-3-carboxylic acid ethyl ester is an intermediate for the preparation of apixaban, an antithrombotic drug produced by Bristol-Myers Squibb in the United States. -The factor Xa direct inhibitor jointly developed by Bristol-Myers Squibb and Pfizer was approved for marketing in the EU in March 2011, and the FDA approved the drug for marketing in the United States in December 2012.
Preparation[1]
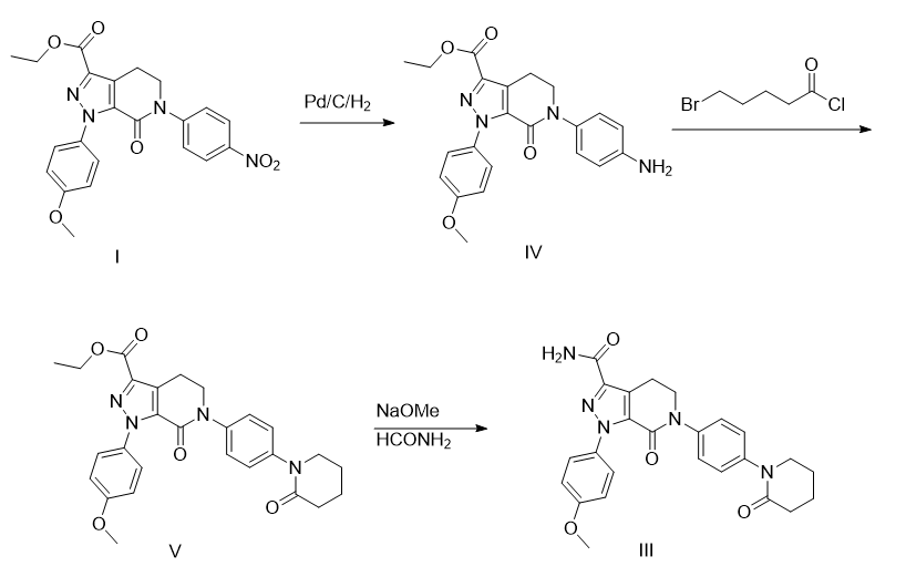
1-(4-methoxyphenyl)-7-oxo-6-[4-(2-oxopiperidin-1-yl)phenyl]-4,5,6,7-tetra Hydrogen-1H-pyrazolo[3,4-C]pyridine-3-carboxylic acid ethyl ester is prepared as follows:

1) Add 16.9g of apixaban intermediate I to the hydrogenation kettle, with a mass percentage of 5% palladium on carbon catalyst (the mass percentage refers to the mass of palladium as a percentage of the total mass of palladium on carbon )1.7g, ethanol 170mL, stir at 0.3~0.4MPa hydrogen pressure and 50~55°C for 4 hours. Cooling, filtering, washing and vacuum concentration (45°C ~ 55°C, -0.085MPa ~ -0.1MPa) yielded 15.7g of apixaban intermediate IV, with a yield of 100%.
2) Dissolve 15.7g of apixaban intermediate IV in 160mL of anhydrous dichloromethane, add 4.0g of finely ground sodium hydroxide, dropwise add 8.4g of 5-bromovaleryl chloride, and then add the ground Add 4.0g of fine sodium hydroxide and stir at 30-35°C for 6 hours. Add water to quench, then extract with dichloromethane. The organic phase is washed with a mass percentage of 10% sodium bicarbonate aqueous solution (the mass percentage refers to the mass of sodium bicarbonate in the total mass of the sodium bicarbonate aqueous solution) and a mass percentage of 15% salt water. (The mass percentage refers to the mass of sodium chloride as a percentage of the total mass of the saline solution), and dried with anhydrous sodium sulfate. Filter and concentrate in vacuum (25°C to 45°C, -0.075MPa to -0.09MPa), add 96 mL of ethyl acetate to the residue, heat to 75°C to dissolve, then slowly cool to 15°C to 20°C and stir for 1 hour. Filter, wash with ethyl acetate, drain and dry under vacuum at -0.01MPa~-0.1MPa, 45°C~55°C for 8 hours to 12 hours, to obtain 9.52g of apixaban intermediate V, with a yield of 50.4%.
3) Dissolve 9.52g of apixaban intermediate V in 95mL of N,N-dimethylformamide, then add 9.5mL of formamide, and add it dropwise at 0°C to 5°C with a mass percentage of 30 % sodium methoxide methanol solution 27.0g (the mass percentage is the mass of sodium methoxide as a percentage of the total mass of sodium methoxide methanol solution), stir at 15°C to 20°C for 4 hours. Add 190 mL of water, stir for 1 hour at 15°C to 20°C, filter, wash with methyl tert-butyl ether, drain, add 24 mL of N,N-dimethylformamide, heat to 75°C to dissolve, then slowly add methyl tert-butyl ether. 96 mL of butyl ether, cool to 5°C to 10°C and stir for 1 hour. Filter, wash with methyl tert-butyl ether, drain and dry under vacuum at -0.01MPa~-0.1MPa, 45℃~55℃ for 8 hours to 12 hours, to obtain 6.29g 1-(4-methoxyphenyl)- 7-Oxo-6-[4-(2-oxopiperidin-1-yl)phenyl]-4,5,6,7-tetrahydro-1H-pyrazolo[3,4-C]pyridine -3-Carboxylic acid ethyl ester, yield 70.3%, HPLC purity 99.91%, maximum single impurity 0.056%.
Main reference materials
[1]CN201711444031.6 Preparation method of apixaban and its intermediates

微信扫一扫打赏
