6,9-Dichloro-2-methoxyacridine
Structural formula Business number 01WL Molecular formula C14H9Cl2NO Molecular weight 278.13 label None yet Numbering system Physical property data Toxicological data Ecological data Molecular structu…
2,6,8-Trimethyl-4-nonanone 2,6,8-Trimethyl-4-nonanone
Structural formula Business number 03G9 Molecular formula C12H24O Molecular weight 184.32 label 2,6,8-trimethylnonan-4-one, 2,4,8-Trimethylnonan-6-one, Dispersant for vinyl chloride resin Numbering sy…
2,6,8-Trimethyl-4-nonanol 2,6,8-Trimethyl-4-nonanol
Structural formula Business number 03G8 Molecular formula C12H26O Molecular weight 186.38 label Trimethylnonanol, 2,4,8-Trimethyl-6-nonanol, Trimethylnonyl alcohol, 2,6,8-trimethylnonan-4-ol, alcohol …
1,2,2,6,6-Pentamethylpiperidine 1,2,2,6,6-Pentamethylpiperidine
Structural formula Business number 01Q3 Molecular formula C10H21N Molecular weight 155.28 label Pempidine, PMP Numbering system Physical property data Toxicological data Ecological data Molecular stru…
5,5′,6,6′-tetrahydroxy-3,3,3′,3′-tetramethyl-1,1′-spiral bisindane5,5′,6,6′-Tetrahydroxy -3,3,3′,3′-tetramethyl-1,1′-spirobisindane
Structural formula Business number 01LM Molecular formula C21H24O4 Molecular weight 340.42 label 3,3,3′,3′-Tetramethyl2,2′,3,3′-tetrahydro-1,1-spirobis[1H-indene]-5,5′,6,…
CAS 3855-32-1/2,6,10-Trimethyl-2,6,10-triazaundecane
CAS 3855-32-1/2,6,10-Trimethyl-2,6,10-triazaundecane Overview: Pentamethyldipropylenetriamine, also known as N,N,N’,N”,N”-pentamethyldipropylenetriamine, molecular formula is C11H27N…
High Quality Pentamethyldipropene Triamine / CAS 3855-32-1 / 2,6,10-Trimethyl-2,6,10-triazaundecane
High Quality Pentamethyldipropene Triamine / CAS 3855-32-1 / 2,6,10-Trimethyl-2,6,10-triazaundecane Overview: Pentamethyldipropylenetriamine, also known as N,N,N’,N”,N”-pentamethyldi…
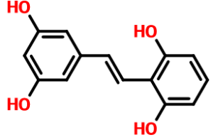
Extraction methods and applications of 2,6,3′,5′-tetrahydroxystilbene_Kain Industrial Additive
Background and overview[1-2] 2,6,3′,5′-tetrahydroxystilbene is also called stilbene alcohol. Medicinol is a stilbene monomer compound isolated from the genus Medicin. Pharmacological exper…
Preparation and application of 2,3,6,7,10,11-hexahydroxytriphenyl_Kain Industrial Additive
Background and overview[1-2] 2,3,6,7,10,11-Hexahydroxytriphenyl, referred to as HHHP, can be prepared from catechol in one step. There are reports in the literature that 2,3,6,7,10,11-hexahydroxytriph…
Preparation and application of 2,3,6,7,10,11-hexahydroxytriphenyl_Kain Industrial Additive
Background and overview[1-2] 2,3,6,7,10,11-Hexahydroxytriphenyl, referred to as HHHP, can be prepared from catechol in one step. There are reports in the literature that 2,3,6,7,10,11-hexahydroxytriph…

