Overview【1】【2】
Protocatechuic acid (PCA) is 3,4-dihydroxybenzoic acid. is a simple phenolic acid that is a precursor for the synthesis of other complex molecules such as anthocyanin 3-O-β-D-glucoside and vanillin. It is found in edible vegetables, fruits, nuts, brown rice, pecans, tea, hibiscus flowers, and some Chinese herbal medicines. Protocatechuic acid has a variety of biological activities against different molecular targets. It has antibacterial, antioxidant, anti-inflammatory, anti-hyperglycemic and neuroprotective effects. In addition, protocatechuic acid has potential chemical protective effects. It can inhibit chemical carcinogens in vitro and produce pro-apoptotic and anti-proliferative effects in different aspects. Therefore, it is currently used clinically for the treatment of burns, pediatric pneumonia, bacillary dysentery, acute pyelonephritis, acute pancreatitis and some ulcer diseases.
Physical and chemical properties【1】
The density of protocatechuic acid is 1.54g/cm3, the melting point is about 200°C, it is soluble in ethanol, ether, acetone, ethyl acetate, soluble in hot water, slightly soluble in cold water, and insoluble in benzene and chloroform. Decomposes in boiling water and releases carbon dioxide. Its aqueous solution turns green when it meets ferric chloride and red when it meets sodium bicarbonate. It is a white to brown crystalline powder that changes color in the air.
Pharmacological effects【1】
Protocatechuic acid is a metabolite of complex polyphenols, such as anthocyanins and proanthocyanidins. Their content is high in plants and fruits and can be absorbed by animals and humans. It is estimated that people consume anthocyanins every day. It is higher in polyphenols than other polyphenols, so the nutritional value of protocatechuic acid is increasingly recognized. A large number of experiments have proven that protocatechuic acid has a variety of biological activities against different molecular targets. It has antibacterial, antioxidant, anti-inflammatory, anti-hyperglycemic and neuroprotective effects. In addition, protocatechuic acid has potential chemical properties. It has a protective effect, it can inhibit chemical carcinogens in vitro and produce pro-apoptotic and anti-proliferative effects in different aspects.
1. Antibacterial effect of protocatechuic acid
Protocatechuic acid has a wide range of antibacterial effects. In in vitro experiments, protocatechuic acid isolated from the plant Roselle was effective against Staphylococcus aureus, Pneumoniae, and Pseudomonas aeruginosa that are resistant to methicillin. Monospora and Acinetobacter baumannii have inhibitory effects, and the antibacterial ability of protocatechuic acid is better than that of Roselle. The heat-treated protocatechuic acid does not affect its antibacterial activity. Protocatechuic acid can be added to muscle foods to prevent Campylobacter contamination and delay lipid oxidation. When the minimum inhibitory concentration of protocatechuic acid is 24-44 microg/mL, it can effectively inhibit food spoilage bacteria, Salmonella typhimurium DT104, Escherichia coli O157:H7, Listeria monocytogenes, Staphylococcus aureus, and Bacillus cereus. bacilli in a dose-dependent manner, suggesting that protocatechuic acid may be used as a food additive to prevent bacterial contamination.
2. Anti-cancer effect of protocatechuic acid
Protocatechuic acid has a certain role in cancer prevention. Its mechanism of action may be related to its antioxidant activity, including inhibiting growth, scavenging oxygen free radicals, and upregulating enzymes involved in neutralization, or it may affect the production of some carcinogens. The first- and second-phase metabolism may also directly block the binding site of the final carcinogen through DNA molecules, thereby preventing the formation of compounds that cause mutations and neoplastic transformation, and playing a certain role in preventing cancer. Protocatechuic acid extracted from honeysuckle can effectively kill HepG2 liver cancer cells by inducing JNK-dependent apoptosis of liver cancer cells at 100 micromol/L. Protocatechuic acid can inhibit the metabolism of cancer cells and down-regulate the Ras/Akt/NF-κB pathway by activating RhoB, which in turn leads to a reduction in the activity of cancer cells induced by MMP and reduces the invasiveness of cancer cells. Therefore, it It has certain value in the development of anti-cancer drugs. Protocatechuic acid has a pro-apoptotic effect on human breast, lung, liver, cervix, and prostate cancer cells and reduces the viability of these cancer cells in a certain concentration-dependent manner. This shows that protocatechuic acid promotes cancer cells by promoting It is a potential anti-cancer agent by inhibiting the apoptosis or delaying the infiltration and metabolism of tumor cells to exert its anti-cancer effect.
3. Antioxidant effect of protocatechuic acid
Alpinia protocatechuic acid reduces the cell survival rate induced by hydrogen peroxide in vitro and prevents oxidative damage. It can reduce oxidative stress in vivo. Its protective effect may be through anti-peroxidase. activity and inhibit the generation of free radicals. Hibiscus protocatechuic acid has a protective effect on oxidative damage of hepatocytes induced by t-BHP. Protocatechuic acid has a protective effect on dioxin-induced oxidative damage and histopathological damage in rat heart tissue. It increases the thiobarbituric acid active substance in dioxin-induced rat heart tissue, Reduces the levels of glutathione, catalase, glutathione peroxidase and superoxide dismutase, thereby alleviating necrosis and bleeding of cardiac tissue.
4. Anti-inflammatory effect of protocatechuic acid
Protocatechuic acid has anti-inflammatory effects. It has a protective effect on LPS-induced RAW-264.7 cells and the carrageenan-induced mouse air bag model, and can reduce the pro-inflammatory factors TNF-α and IL-1β. , pro-inflammatory mediators NO, PGE2, INOS, COX-2, NF-κB and MAPK. In addition, protocatechuic acid is an important active ingredient in Sijiqing tablets, which is used as an antibacterial and anti-inflammatory drug.
5. Anti-hyperglycemic effect of protocatechuic acid
In diabetic mice, protocatechuic acid significantlyLowers blood sugar levels and increases insulin levels. The reason may be that protocatechuic acid reduces the complications of diabetes, lowers triglycerides, and exerts its antioxidant and anti-inflammatory effects. Protocatechuic acid helps prevent or alleviate glycation related to diabetic complications.
6. Other functions of protocatechuic acid
In 1-methyl-4-phenyl-1,2,3,6-tetrahydropyridine-induced mice, protocatechuic acid reduced dopamine levels and dopamine metabolites in the striatum content, inhibits this neurotoxicity, improves the pathology of the substantia nigra, and reduces the expression of tyrosine hydroxylase in the substantia nigra, thereby playing a certain neuroprotective role and may be used clinically for Parkinson’s disease Treatment. Protocatechuic acid has the potential to fight against infectious bursal virus. Protocatechuic acid can effectively reduce atherosclerosis in apolipoprotein E-deficient mice. Protocatechuic acid prevents dioxin-induced reproductive toxicity in male rats.
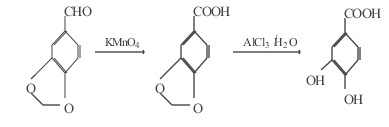
Preparation method【3】
Using piperonal as raw material, first oxidizing it with potassium permanganate to prepare piperic acid, and then hydrolyzing it with aluminum trichloride to prepare protocatechuic acid. The synthesis route is as follows:

Figure 1 is the synthesis route diagram of protocatechuic acid
1. Preparation of piperic acid
Add 12 g piperonal and 300 ml water into a 1000 ml three-neck flask, heat to 70-80°C, stir vigorously, add dropwise 5% potassium permanganate aqueous solution (18 g potassium permanganate Add 360 ml of water), add dropwise for about 30 minutes, complete the addition, continue stirring until the purple color fades, filter while hot, and wash the filter cake. The mother liquor was acidified and filtered to obtain piperic acid. The finished product was naturally dried 12.4 g, with a yield of 94% and a melting point of 228-231°C.
2. Preparation of protocatechuic acid
Add 4 g aluminum trichloride to 150 ml of nitrobenzene, stir to dissolve, add 10 g of piperic acid in batches, stir at room temperature for 3 to 5 hours, pour the reaction solution into 100 ml of water, and separate the water layer, sulfur dioxide is introduced into the aqueous solution, and protocatechuic acid is precipitated. The dry weight is 7.5g, the melting point is 200~201℃, and the yield is 81%.
Extraction method【2】【4】
1. Extract protocatechuic acid from lilac leaves
(1) Sample pretreatment. The original medicinal materials of lilac leaves are dried and selected to remove seeds and various impurities, and then crushed by a grinder to obtain fine powder.
(2) Protocatechuic acid extraction. Weigh 2.0g of lilac leaf powder that has passed through a 40-mesh sieve, and extract it using absolute ethanol as the extractant under the set process conditions. The extract is filtered, the residue is discarded, and the ethanol is recovered to obtain a crude extract. Add 50ml ether and 3ml 0.1mol/L hydrochloric acid to the crude extract, shake to dissolve, transfer to a separatory funnel, extract 3 times with 0.1mol/L sodium hydroxide solution, 50ml each time, the hydrogen after each extraction After washing the sodium oxide solution with 10 ml of diethyl ether, add 3 ml of 1 mol/L hydrochloric acid, combine the sodium hydroxide solution, and extract three times with 50 ml of diethyl ether. Wash the three extracted diethyl ether layers with 10 ml of water respectively, combine the diethyl ether solutions, and adjust the pH to 6.0 , evaporate to dryness, and obtain almost white powdery crystals.
2. Extract protocatechuic acid from thistle
Decoct 100g of thistle crude drug (dry basis) with 1000ml of water for 0.5h, combine the two decoctions, suction filter, discard the filter residue, the filtrate is brown, heat and concentrate to 800ml with an electric stove, cool and extract with ethyl acetate , retain the ester layer, and the water layer (I) is used to extract flavonoids and caffeic acid. Concentrate the ester layer to dryness under reduced pressure, extract with hot water, filter with suction, discard the water-insoluble matter, acidify the aqueous liquid and extract with ether, discard the water layer, and retain the ether layer. Extract the ether layer with 5% sodium bicarbonate solution, discard the ether layer, and retain the sodium bicarbonate extract. Acidify the sodium bicarbonate extract, extract with ether, adjust the pH value to 6, concentrate and crystallize, and recrystallize with CHCl3 to obtain colorless needle-like protocatechuic acid crystals. The melting point of the product is 198~200℃.
Main reference materials
[1]Wei Miaomiao. Research on the protective effect of protocatechuic acid on allergic asthma model mice and related mechanisms [D]. Jilin University, 2013.
[2] Zhang Laixin. Extraction of protocatechuic acid from thistle[J]. Journal of Traditional Chinese Medicine, 2004(06):27-28.
[3] Zhao Renning, Ji Yu, Zhang Qiao. Synthesis of protocatechuic acid [J]. Liaoning Chemical Industry, 2001(11):469-476.
[4] Zhao Dawei, Wang Peihua. Research on extraction technology of protocatechuic acid from lilac leaves [J]. Anhui Agricultural Sciences, 2011, 39(26): 15943-15944+15947.

微信扫一扫打赏
