What is protocatechuic acid and what are its functions_Kain Industrial Additives
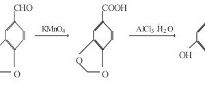
Overview【1】【2】 Protocatechuic acid (PCA) is 3,4-dihydroxybenzoic acid. is a simple phenolic acid that is a precursor for the synthesis of other complex molecules such as anthocyanin 3-O-β-D-glucoside …

