Background and overview[1]
3-Chlorotoluene, also called m-chlorotoluene, is a colorless liquid mainly used in the manufacture of pesticides, medicines, dyes and peroxide intermediates and solvents. 3-Chlorotoluene is a by-product of the chlorination of toluene to produce o-chlorotoluene and p-chlorotoluene, but its content is very low and separation is difficult. Generally, 3-chlorotoluene is not prepared through chlorination of toluene.
Synthesis method[1]
O-chlorotoluene is used as raw material and isomerized to prepare 3-chlorotoluene. Use industrial grade o-chlorotoluene as the reaction raw material, analytically pure toluene and chlorobenzene as the diluent, and mix them evenly with o-chlorotoluene in a certain volume ratio. Cylinders N2 and H2 are used as carrier gases. The isomerization reaction is carried out in a quartz tube integrating reactor, and the catalyst dosage is 7 to 8 grams. After the fresh catalyst was activated in the air at 500°C for 1 hour, it was lowered to the reaction temperature with N2, and fed into the reaction after constant temperature. The raw materials are transported by ultra-micro pumps, and the rapidly vaporized sample vapor is continuously brought into the catalyst bed by the carrier gas. The reaction products are condensed and collected according to a predetermined time. After the catalyst (HZSM-5) is coked and deactivated, it is regenerated by air at 500°C for 2 hours before being used for the reaction. The collected liquid product was analyzed by capillary chromatography. The product composition is shown in the figure below.

Application fields[2][3]
1. Preparation of m-phenoxytoluene
Stir and mix 3-chlorotoluene, sodium phenolate, cuprous chloride, 8-hydroxyquinoline and polydiethylene glycol at room temperature in a reaction vessel, and heat until the temperature of the mixture is 130~140°C, then keep it warm and stir The reaction lasts for 8 to 9 hours, and finally, through high vacuum and reduced pressure distillation, the 100 to 110°C fraction is taken to obtain m-phenoxytoluene. The reaction equation is as follows. In this reaction, sodium phenolate and 3-chlorotoluene are used as raw materials, and m-phenoxytoluene is reacted in the next step under the action of a catalyst. m-chlorotoluene is both a reactant and a solvent.

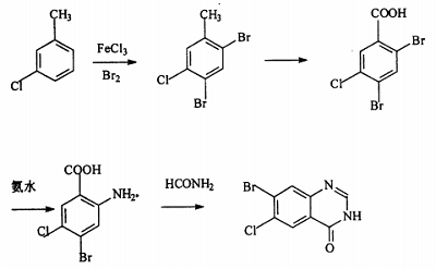
2. Preparation of fentanyl hydrobromide
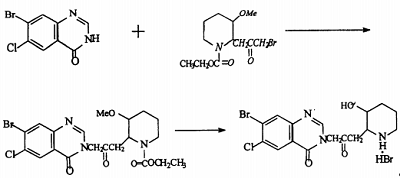
Hydroxanone hydrobromide is 7-bromo-6-chloro-3-[3-(3-hydroxy-2-piperidinyl)-2-oxopropyl]-4(3H)-quinolinone , a natural alkaloid, was first used as a veterinary drug and has unique effects in fighting poultry coccidiosis. Using 3-chlorotoluene as raw material and ferric chloride as catalyst, it undergoes bromination reaction with butane bromide and bromine to obtain 2,4-dibromo-5-chlorotoluene, which is produced by potassium permanganate, potassium dichromate or dichromate. Magnesium oxide converts the methyl group into a carboxyl group to obtain 2,4-dibromo-5-chlorotoluic acid. It reacts with ammonia water or ammonia gas in the presence of cuprous chloride to selectively ammonate its ortho-bromine to obtain 2- Methyl-4-bromo-5-chlorobenzoic acid is then cyclized in DMF solution using formamide to obtain 7-bromo-6-chloro-4(3H)-quinolinone, which is finally combined with 2-bromoacetonyl-3- Methoxy-1-piperidinecarboxylic acid ethyl ester is condensed, hydrolyzed, and demethylated to obtain oftenanone hydrobromide. The reaction process is as follows.


Main reference materials
[1] Zhao Zhenhua, Lin Lixi. Study on the atmospheric pressure isomerization reaction of o-chlorotoluene over HZSM-5 zeolite catalyst[J]. Acta Catalytica Sinica, 1987, 8: 430-435.
[2] Jing Weibi, Lin Ming, Zhu Gui, Synthesis method of m-phenoxytoluene, CN 201010234546, application date 2010-07-19
[3] Mao Zhongxing, Mao Guanxing, Jin Junting, Preparation method of fentanone hydrobromide, CN 200410016161, application date 2004-02-04

微信扫一扫打赏
