Background and overview[1]
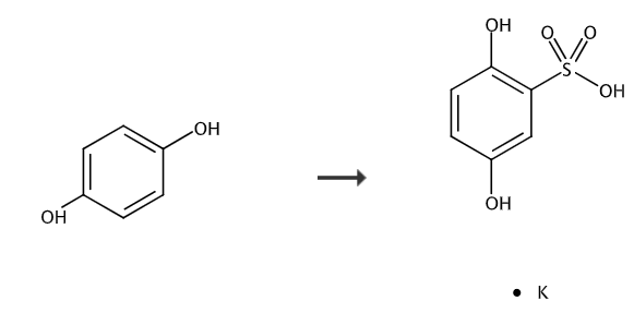
Potassium 2,5-dihydroxybenzenesulfonate is a 2,5-dihydroxybenzenesulfonic acid derivative and can be used alone or in combination with other drugs to treat male sexual dysfunction and other endothelial-derived vascular diseases. Potassium 2,5-dihydroxybenzenesulfonate can be prepared from hydroquinone as a starting material.
Preparation[1]

Put hydroquinone (25 g, 0.2270 mol) and n-heptane (75 mL) into a round-bottomed flask. After cooling the flask to about 10-15°C, add sulfuric acid (36 N, 36 N, 22.2 g) Continue stirring for about 10-15 minutes. Slowly increase the temperature to 50-55°C and continue stirring for 3 hours. The reaction mass was then cooled to 25-35°C and ethyl acetate (250 mL) was added to dissolve the solid that formed. A solution of potassium 2-ethylhexanoate (41.3 g, 0.2265 mol) in ethyl acetate (250 mL) was added slowly. The reaction was stirred for a further hour. The precipitated crude solid was filtered and washed with ethyl acetate.
Apply[2]
CN201711459362.7 discloses a polypropylene resin composite board immobilized with ammonia-oxidizing bacteria. After cleaning the polypropylene resin plate, it is modified with a mixture prepared by potassium stannate, potassium 2,5-dihydroxybenzenesulfonate, potassium trifluoroacetate, and potassium hydrogen tartrate to obtain substance B; substance B is modified by potassium trihydrogen oxalate and agar. The mixture prepared from sugar and potassium sorbate is modified to obtain substance C. After immobilizing ammonia-oxidizing bacteria on substance C, the substance obtained is a polypropylene resin composite board with immobilized ammonia-oxidizing bacteria. The beneficial effect of the present invention is that the prepared polypropylene resin composite board with immobilized ammonia-oxidizing bacteria has the function of high bacterial activity and efficient degradation of ammonia nitrogen in wastewater.
References
[1] From PCT Int. Appl., 2009083940, 09 Jul 2009
[2] [Chinese invention] CN201711459362.7 Polypropylene resin composite board with immobilized ammonia-oxidizing bacteria and preparation method thereof

微信扫一扫打赏
