Background and overview[1]
(S)-N-glycidyl phthalimide is also called S-glycidyl phthalimide amine. (S)-N-glycidyl phthalimide is an important intermediate for the preparation of rivaroxaban, new antibiotic linezolid, antifungal thioxazolidinones, and oxazolidinediones.
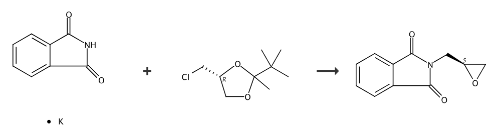
Preparation[1]
Step 1, N-(S-2,2-dimethyl-1,3-dioxolane-4-)methylphthalamide Preparation of amines
Into a 1-liter four-necked flask connected to a stirrer, thermometer, and condenser tube, add 250 grams of N,N-dimethylformamide (DMF), 37.0 grams (0.20 mol) of ortho Potassium phthalimide, 33.3 g (0.22 mol) R-2,2-dimethyl-4-chloromethyl-1,3-dioxolane, 0.5 g potassium iodide, heat and keep the internal temperature at 80 Stir for 4 hours at -85°C. Cool to 20°C, filter, wash the filter cake with 50 grams of DMF, and combine the filtrate. DMF was recovered by distillation under reduced pressure, and the residue was recrystallized with 80 g of methyl tert-butyl ether to obtain 49.7 g of N-(S-2,2-dimethyl-1,3-dioxolane-4-)methyl ortho Phthalimide, yield 95.3%, HPLC purity 99.7%.
Step 2, Preparation of S-glycidyl phthalimide
Into a 500 ml four-neck bottle connected to a stirrer and thermometer, add 200 grams of 1,2 -Dichloroethane, 26.5 g (0.10 mol) N-(S-2,2-dimethyl-1,3-dioxolane-4-)methylphthalimide, 25 g 40 % hydrobromic acid, stir and react for 4 hours at 10-15°C. Separate the layers, extract the aqueous layer three times with 1,2-dichloroethane, 20 grams each time, combine the organic phases, and transfer the organic phases to a constant pressure low liquid funnel. In another flask, add 30 grams (0.15 mol) of 27% sodium methoxide methanol solution, and add the obtained organic phase dropwise while maintaining the internal temperature between 0-5°C. After the dripping is completed, stir and react at 10-15°C for 3 hours. Add 200 grams of ice water, separate the layers, and extract the water layer twice with 1,2-dichloroethane, 20 grams each time. Combine the organic phases, recover 1,2-dichloroethane by distillation, and use 50 grams of formazan as the residue. Recrystallization of S-glycidyl tert-butyl ether gave 19.0 g of S-glycidyl phthalimide, with a yield of 93.6% and a HPLC purity of 99.9%.
References
[1] [Chinese invention] CN201710653271.0 A low-cost, high-purity synthesis method of S-glycidyl phthalimide


微信扫一扫打赏
