
Structural formula
| Business number | 05VB |
|---|---|
| Molecular formula | C20H37NaO7S |
| Molecular weight | 444.56 |
| label |
Sodium bis(2-ethylhexyl)sulfosuccinate, Bis(2-ethylhexyl) sulfosuccinate sodium salt, Docusate sodium, Penetrating agent S, Sodium di-sec-octyl ester sulfosuccinate, Surfactant, emulsifier, humectant |
Numbering system
CAS number:577-11-7
MDL number:MFCD00012455
EINECS number:209-406-4
RTECS number:WN0525000
BRN number:None
PubChem number:24859403
Physical property data
1. Physical property data
1. Properties: colorless or light yellow liquid
2. Density (kg/mL, 25/4℃): 1.02-1.08
p>
3. Solubility: Solubility in water (g/L): 15 (25℃), 23 (40℃), 30 (50℃), 55 (70℃). Easily soluble in mixtures of water and alcohol, as well as mixtures of water and other organic solvents, soluble in carbon tetrachloride, petroleum ether, xylene, acetone and vegetable oil, etc.
4. Melting point: 153-157 ℃
5. Flash point (ºC): 91-95
Toxicological data
None yet
Ecological data
None yet
Molecular structure data
None yet
Compute chemical data
1. Reference value for hydrophobic parameter calculation (XlogP): None
2. Number of hydrogen bond donors: 0
3. Number of hydrogen bond acceptors: 7
4. Number of rotatable chemical bonds: 18
5. Number of tautomers: none
6. Topological molecule polar surface area 118
7. Number of heavy atoms: 29
8. Surface charge: 0
9. Complexity: 546
10. Number of isotope atoms: 0
11. Determine the number of atomic stereocenters: 0
12. Uncertain number of atomic stereocenters: 3
13. Determine the number of chemical bond stereocenters: 0
14. Number of uncertain chemical bond stereocenters: 0
15. Number of covalent bond units: 2
Properties and stability
1. Properties: white waxy solid. Stable in acidic and neutral solutions, decomposes in alkaline solutions.
2.It has power generation, wetting and decontamination properties.
Storage method
Stored in a cool, dry place and sealed
Synthesis method
1. Preparation method: Obtained from the reaction of diisooctyl maleate and sodium metabisulfite.
2.This process is environmentally friendlyUsing high-quality solid heteropoly acid as a catalyst, the conversion can reach more than 96%. The catalyst is easy to recover and can be reused 6 times. In the sulfonation reaction, NaHO3 is used as the sulfonation agent and the sulfonation kettle is sealed. Reduce environmental pollution. Put 280kg maleic anhydride, 100kg sec-octanol, and 2kg sulfuric acid into the reaction kettle in sequence, reflux under reduced pressure, and use a water separator to separate water. The acid value reaches 2kgkoH/g as the end point. Move the feed liquid into the neutralization kettle. Separate the water layer, dealcoholize and distill it under reduced pressure and raise it to 160°C to stop heating. The alcohol is recovered. The crude ester is transferred to the sulfonation kettle. Add 1000kg water and 312kg NaHO3, and after extracting the air in the kettle, seal the sulfonation kettle, react at 0.1~0.25MPa for 6 hours and let stand for stratification. Separate water and a small amount of turbidity. Product packaging. The reaction formula is as follows.

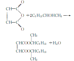
3.The preparation method is generally divided into two steps. First, 2 mol of fatty alcohol and 1 mol of maleic acid (or maleic anhydride) are esterified with toluenesulfonic acid or sulfuric acid to form butenedioate ester, which is then heated with sodium bisulfite aqueous solution under stirring. A sulfonic acid group is introduced into the double bond of the ester to form sodium dialkyl succinate sulfonate. The reaction equation is as follows:


Purpose
1. This product is a surfactant, emulsifier, and wetting agent.
2.This product is an excellent emulsifier, detergent and penetrant used in the textile industry.
3.Can be widely used for chemical cleaning of metal products and equipment. It is used for washing emulsified cutting oil, which can quickly settle metal chips. Used as a solvent detergent, it can remove dirt from oil pipelines, storage tanks, etc. and detect leaks in storage tanks and devices.

微信扫一扫打赏
