
Structural formula
| Business number | 022D |
|---|---|
| Molecular formula | C14H10O |
| Molecular weight | 194.23 |
| label |
9(10H)-Anthrone, 9,10-dihydro-9-xanthene, 9(10H)-Anthracenone, 9,10-Dihydro-9-oxoanthracen, Chromatographic detection of ketoses and monosaccharides |
Numbering system
CAS number:90-44-8
MDL number:MFCD00001187
EINECS number:201-994-0
RTECS number:CB8925500
BRN number:1910173
PubChem number:24890570
Physical property data
1. Properties: Colorless needle-like crystals.
2. Density (g/mL, 25/4℃): 1.325
3. Relative vapor density (g/mL, air=1): Undetermined
4. Melting point (ºC): 155
5. Boiling point (ºC, normal pressure): 721
6. Boiling point (ºC, 5.2kPa): Undetermined
p>
7. Refractive index: Undetermined
8. Flash point (ºC): Undetermined
9. Specific rotation (º): Undetermined
10. Autoignition point or ignition temperature (ºC): Undetermined
11. Vapor pressure (kPa, 25ºC): Undetermined
12. Saturated vapor pressure ( kPa, 60ºC): Undetermined
13. Heat of combustion (KJ/mol): Undetermined
14. Critical temperature (ºC): Undetermined
15. Critical pressure (KPa): Undetermined
16. Log value of oil-water (octanol/water) partition coefficient: Undetermined
17. Explosion upper limit (%, V/ V): Undetermined
18. Lower explosion limit (%, V/V): Undetermined
19. Solubility: Soluble in most organic solvents such as acetone, benzene, etc., does not produce Fluorescent, slightly soluble in water.
Toxicological data
None
Ecological data
None
Molecular structure data
1. Molar refractive index 58.53
2. Molar volume (cm3/mol): 162.5
3. Isotonic specific volume (90.2K) : 429.6
4. Surface tension (dyne/cm): 48.7
5. Polarizability (10-24cm3): 23.20
Compute chemical data
1. Reference value for hydrophobic parameter calculation (XlogP): None
2. Number of hydrogen bond donors: 0
3. Number of hydrogen bond acceptors: 1
4. Number of rotatable chemical bonds: 0
5. Number of tautomers: none
6. Topological molecule polar surface area 17.1
7. Number of heavy atoms: 15
8. Surface charge: 0
9. Complexity: 234
10. Number of isotope atoms: 0
11. Determine the origin��Number of stereocenters: 0
12. Uncertain number of stereocenters of atoms: 0
13. Determined number of stereocenters of chemical bonds: 0
14. Number of uncertain chemical bond stereocenters: 0
15. Number of covalent bond units: 1
Properties and stability
1. The reaction product with ketose and monosaccharide is yellow.
2. Exist in mainstream smoke.
3. Irritating.
Storage method
This product should be kept sealed and dry.
Synthesis method
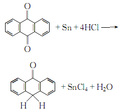
1. Mix anthraquinone, tin particles and glacial acetic acid in a ratio of 1: 1.72: 26.8 (molar ratio) evenly, heat to boiling, and then adjust the relative density For 1.19 hydrochloric acid [3.5 times the amount of tin particles (molar ratio)], add it to the boiling liquid evenly in batches within 2 hours, and then reflux for 1.5 hours:

After the reaction, decolorize and filter , after washing the precipitate with distilled water, merge the washing liquid into the filtrate, cool to 10°C, wash the precipitated crystals with water several times to a pH value of 7, filter to dryness, and recrystallize with acetone or a 3:1 mixture of benzene and petroleum ether. Just purify.
Purpose
1. Determine the sugar content in liquid and animal starch in liver tissue. Organic Synthesis.

微信扫一扫打赏
