
Structural formula
| Business number | 01X6 |
|---|---|
| Molecular formula | C11H10N2S |
| Molecular weight | 202.28 |
| label |
N-(1-naphthyl)thiourea, 1-naphthyl-2-thiourea, Naphthylthiourea, 1-Naphthylthiourea, safe, Antu, Alrato, Anturat, Dirax, Krysid, Rattrack, Smeesana, 1-Naphthalenylthiourea, Rodenticide |
Numbering system
CAS number:86-88-4
MDL number:MFCD00041824
EINECS number:201-706-3
RTECS number:YT9275000
BRN number:778118
PubChem number:24868783
Physical property data
1. Properties: White prismatic crystals are obtained from alcohol. Odorless, bitter, and highly toxic.
2. Density (g/mL, 25/4℃): Undetermined
3. Relative vapor density (g/mL, air=1): Undetermined
4. Melting point (ºC): 198℃
5. Boiling point (ºC, normal pressure): Undetermined
6. Boiling point (ºC, 5.2kPa): Undetermined Determined
7. Refractive index: Undetermined
8. Flash point (ºC): Undetermined
9. Specific rotation (º): Undetermined
10. Autoignition point or ignition temperature (ºC): Undetermined
11. Vapor pressure (kPa, 25ºC): Undetermined
12. Saturation Vapor pressure (kPa, 60ºC): Undetermined
13. Heat of combustion (KJ/mol): Undetermined
14. Critical temperature (ºC): Undetermined
15. Critical pressure (KPa): Undetermined
16. Log value of oil-water (octanol/water) partition coefficient: Undetermined
17. Explosion upper limit (% , V/V): Undetermined
18. Lower explosion limit (%, V/V): Undetermined 19. Solubility: Solubility in water at 25°C is 0.06g/100ml, solubility in propanol It is 2.43g/100ml and is easily soluble in hot ethanol.
Toxicological data
Norwegian rat acute oral LD50 is 6-8mg/kg > dog oral LD50 is 380mg/ kg, the oral LD50 for monkeys is 4250 mg/kg, the minimum lethal dose for humans is 588 mg/kg, and the LD50 for cats is 100 mg/kg.
Ecological data
None yet
Molecular structure data
1. �Er refractive index: 64.52
2, Molar volume (cm3/mol): 151.6
3, Isotonic specific volume (90.2K): 445.5
4. Surface tension (dyne/cm): 74.4
5. Polarizability (10-24cm3) :25.58
Compute chemical data
1. Reference value for hydrophobic parameter calculation (XlogP): None
2. Number of hydrogen bond donors: 2
3. Number of hydrogen bond acceptors: 1
4. Number of rotatable chemical bonds: 1
5. Number of tautomers: 3
6. Topological molecule polar surface area 70.1
7. Number of heavy atoms: 14
8. Surface charge: 0
9. Complexity: 217
10. Number of isotope atoms: 0
11. Determine the number of atomic stereocenters: 0
12. Uncertain number of atomic stereocenters: 0
13. Determine the number of chemical bond stereocenters: 0
14. Number of uncertain chemical bond stereocenters: 0
15. Number of covalent bond units: 1
Properties and stability
None yet
Storage method
This product should be kept sealed, dry and protected from light.
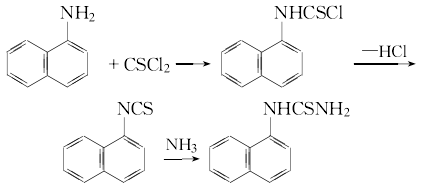
Synthesis method
1.Antuo is produced by the reaction of α-naphthylamine and ammonium thiocyanate.
2.Preparation method two
3.Preparation method three

Purpose
Thiocarbamide acute rodenticide. It has strong selectivity and is mainly used to control Rattus norvegicus and Yellow-haired Rat. It has low toxicity to other rat species. This agent has a strong stomach poisoning effect and can also damage the respiratory system of rats. Generally, death occurs within 6 to 72 hours after eating. Antuo has good palatability and is ideal for initial use. However, after ingestion of sub-lethal doses, it will develop strong drug resistance. The drug resistance can be increased by 7 to 50 times, and it will develop cross-resistance to other thiourea derivatives. It is advisable to prepare poisonous baits to control rodents. The active ingredients of poisonous baits are 0.5% to 2%. The preparation method is the same as zinc phosphide rodenticide. Example 1: 0.5% Antuo carrot poison bait (or use fruits or vegetables instead), place 2 to 3 piles in each room, each pile contains 10 to 20g of poison bait, and recover the remaining poison bait after 3 days. Example 2: 1 part Antuo raw powder, 1 part fish bone meal, 1 part edible oil, 97 parts cornmeal, mix evenly, then add appropriate amount of water to form a dough, and make poison bait pills the size of soybeans, put 2 to 3 piles in each room. 10-20g per pile is very effective in controlling Rattus norvegicus. It can also be made into 2% safe wheat poison bait for use.

微信扫一扫打赏
