Toluene diisocyanate manufacturer Knowledge 2-Chloroaniline hydrochloride

2-Chloroaniline hydrochloride

2-Chloroaniline hydrochloride structural formula

Structural formula

Business number 03R7
Molecular formula C6H7Cl2N
Molecular weight 164
label

Aromatic nitrogen-containing compounds and their derivatives

Numbering system

CAS number:137-04-2

MDL number:MFCD00053282

EINECS number:205-274-7

RTECS number:None

BRN number:3624280

PubChem ID:None

Physical property data

1. Properties: white to gray flaky crystals

2. Melting point (℃): 235

3. Relative density: 1.505

4. Solubility: Soluble in water, slightly soluble in ethanol.

Toxicological data

None

Ecological data

None

Molecular structure data

None

Compute chemical data

1. Reference value for hydrophobic parameter calculation (XlogP): None

2. Number of hydrogen bond donors: 2

3. Number of hydrogen bond acceptors: 1

4. Number of rotatable chemical bonds: 0

5. Number of tautomers: none

6. Topological molecule polar surface area 26

7. Number of heavy atoms: 9

8. Surface charge: 0

9. Complexity: 74.9

10. Number of isotope atoms: 0

11. Determine the number of atomic stereocenters: 0

12. Uncertain number of atomic stereocenters: 0

13. Determine the number of chemical bond stereocenters: 0

14. Number of uncertain chemical bond stereocenters: 0

15. Number of covalent bond units: 2

Properties and stability

This product is relatively stable and less likely to cause poisoning. However, the intermediate o-chloroaniline is highly toxic and harmful to the human body. Therefore, the operation must be carried out in a closed system to avoid direct contact with the human body. Operators should wear protective equipment.
 

Storage method

Packed in iron drums lined with plastic bags, 20kg per drum. Store in a ventilated, dry place, away from sunlight, heat and moisture. Store and transport according to regulations on toxic chemicals.

Synthesis method

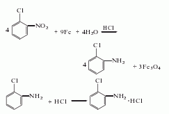
O-Nitrochlorobenzene is reduced with 30% hydrochloric acid, water and iron powder to obtain o-chloroaniline. After refining, add 30% hydrochloric acid to form a salt, filter and dry to obtain the finished product. The industrial product is a light gray powder with a content of ≥90% and hydrochloric acid insoluble matter of ≤0.2%. The intensity and color of the coupling with naphthol AS should meet the requirements. Raw material consumption quota: o-nitrochlorobenzene 1002kg/t, iron powder 1011kg/t, hydrochloric acid (31%) 1092kg/t

Purpose

Dye intermediates. Mainly used as color base for ice dyeing and developer for dyeing and printing of towels, colored yarns, colored cloths and other cotton fabrics and viscose fabrics. Also used in organic synthesis intermediates.

This article is from the Internet, does not represent the position of Toluene diisocyanate reproduced please specify the source.https://www.allhdi.com/archives/46095

author:

Previous article
Next article
Contact Us

Contact us

+86 - 152 2121 6908

Online consultation: QQ交谈

E-mail: sales@newtopchem.com

Working hours: Monday to Friday, 9:00-17:30, closed on holidays
Follow wechat
Scan wechat and follow us

Scan wechat and follow us

Back to top
Home
E-mail
Products
Search