
Structural formula
| Business number | 0379 |
|---|---|
| Molecular formula | C11H15NO3 |
| Molecular weight | 209.24 |
| label |
o-isopropoxyphenyl-N-methylcarbamate, Andan, worship high, fear of residual insects, Aprocarb, Arprocarb, Propotox, o-Isopropoxyphenyl-N-methylcarbamate, Carbamate pesticides |
Numbering system
CAS number:114-26-1
MDL number:MFCD00055455
EINECS number:204-043-8
RTECS number:FC3150000
BRN number:1879891
PubChem number:24899241
Physical property data
1. Appearance: White crystalline powder
2. Density (g/mL, 25℃): Undetermined
3. Relative vapor density (g/mL, air = 1): Undetermined
4. Melting point (ºC): 91.5
5. Boiling point (ºC, normal pressure): Undetermined
6. Boiling point (ºC, normal pressure): Undetermined
6. ºC, KPa): Not determined
7. Refractive index (n20/D): Not determined
8. Flash point (ºC): Not determined Determined
9. Specific rotation (ºC): Undetermined
10. Autoignition point or ignition temperature (ºC): Undetermined
11. Vapor Pressure (mmHg, 38ºC): Undetermined
12. Saturated vapor pressure (kPa, 120ºC): 1.33
13. Heat of combustion (KJ/mol): Undetermined
14. Critical temperature (ºC): Undetermined
15. Critical pressure (KPa): Undetermined
16. Oil-water (octanol/water) distribution coefficient Log value: Undetermined
17. Explosion upper limit (%, V/V): Undetermined
18. Explosion lower limit (%, V/V): Undetermined
19. Solubility: soluble in most organic solvents.
Toxicological data
Acute oral LD50 for male rats is 90-128mg/kg, and for females it is 4mg/kg , male mice are 100-109mg/kg. The acute transdermal LD50 in rats is 8()0-1000 mg/kg. The no-effect dose in the 2-year feeding test in rats is 800 to 1000 mg/kg of feed. Carp LC50>10mg/L Myna acute oral LC50 is 15-30mg/kg. Highly toxic to bees.
Ecological data
None yet
Molecular structure data
5. Molecular property data:
1. Molar refractive index: 57.09
2. Molar volume (cm3/mol): 193.2
3. Isotonic specific volume (90.2K): 470.3
4. Surface tension (dyne/cm): 51.4
5. Polarizability ( 10-24cm3): 22.63
Compute chemical data
1. Reference value for hydrophobic parameter calculation (XlogP): None
2. Number of hydrogen bond donors: 1
3. Number of hydrogen bond acceptors: 3
4. Number of rotatable chemical bonds: 4
5. Number of tautomers: 2
6. Topological molecule polar surface area 47.6
7. Number of heavy atoms: 15
8. Surface charge: 0
9. Complexity: 206
10. Number of isotope atoms: 0
11. Determine the number of atomic stereocenters: 0
12. Uncertain number of atomic stereocenters: 0
13. Determine the number of chemical bond stereocenters: 0
14. Number of uncertain chemical bond stereocenters: 0
15. Number of covalent bond units: 1
Properties and stability
None yet
Storage method
None yet
Synthesis method
1. Dissolve o-isopropylphenol in dehydrated dioxane, add methyl isocyanate and triethylamine dropwise, and gradually heat up the reaction mixture. Cool and precipitate crystals. After adding petroleum ether, the crystals will completely precipitate. Collect the crystallization product, which is propoxur. The by-product urea is washed with petroleum and water, remove the solvent, dry under reduced pressure at 50°C, and recrystallize from benzene to recover it. Kill the power. Raw material consumption quota: o-isopropylphenol 890kg/t, methyl isocyanate 330kg/t, dehydrated dioxane 150kg/t, petroleum ether 500kg/t.
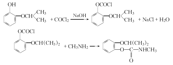
2.Chloroformate method
Synthesize isopropoxy first Phenolic chloroformate is then aminated to synthesize propoxur. Both reactions are carried out at low temperatures.

Purpose
1. Non-systemic pesticides. It has contact killing, gastric poisoning and fumigation effects. It knocks down quickly, has a rapidity close to dichlorvos, and has a long lasting effect. It can kill external parasites, household hygiene pests (mosquitoes, flies, cockroaches, etc.) and storage pests.
2.A fast-acting, long-residual carbamate insecticide with contact killing, gastric poisoning and fumigation effects, but no systemic effect. Mainly used to control rice borers, rice leafhoppers, rice planthoppers, cotton aphids, fruit tree scale insects, rust ticks, cereal pests and sanitary pests.

微信扫一扫打赏
