
Structural formula
| Business number | 02XA |
|---|---|
| Molecular formula | C7H9N |
| Molecular weight | 107.15 |
| label |
2,6-lutidine, 2,6-lutidine, 2,6-Dimethylazepine, Methyridine, Lutidine, 2,6-Diylpyridine, lutidine, 2,6-Dimethylpyridine, 2,6-Lutidine, catalyst, curing agent for epoxy resin, Nitrogen-containing compound solvents, Heterocyclic compounds |
Numbering system
CAS number:108-48-5
MDL number:MFCD00006345
EINECS number:203-587-3
RTECS number:OK9700000
BRN number:105690
PubChem number:24901770
Physical property data
1. Properties: colorless oily liquid with a special odor. [12]
2. Melting point (℃): -6[13]
3. Boiling point (℃): 141~144[14]
4. Relative density (water=1): 0.93[15]
5. Relative vapor density (air = 1): 3.7[16]
6. Saturated vapor pressure (kPa): 8.88 (79℃)[17]
7. Critical pressure (MPa): 3.75[18]
8. Octanol/water partition coefficient: 1.68[19]
9. Flash point (℃): 33[20]
10. Solubility: slightly soluble in hot water, slightly soluble Soluble in ethanol, ether and acetone. [21]
11. Refractive index (20ºC): 1.4977
12. Viscosity (mPa·s, 25ºC): 0.87766
13. Heat of evaporation (KJ/mol, 25ºC): 46.1
14. Heat of fusion (KJ/mol): 10.05
15. Heat of formation (KJ/mol, liquid ): 12.59
16. Conductivity (S/m, 25ºC): 1.4×10-9
17. Volume expansion coefficient (K-1,25ºC): 0.000983
Toxicological data
1. Acute toxicity[22] LD50: 400mg/kg (oral in rats); 2500mg/kg (dermal in guinea pigs)
2. Irritation No information available
3. Others[23] LCLo: 7500ppm (rat inhalation, 1h)
Ecological data
1. Ecotoxicity[24] LC50: 50~58mg/L (96h) (fish); 62mg/L (96h) (invertebrates)
2. Biodegradability [25]
For contaminated surface soil, the soil biodegradation half-life is 0.5 months;
For unpolluted surface soil, the soil biodegradation half-life is 1 month.
3. Non-biodegradability[26] In the air, when the hydroxyl radical concentration is 5.00×105 /cm3, the degradation half-life is 6 days (theoretical).
Molecular structure data
1. Molar refractive index: 33.99
2. Molar volume (cm3/mol): 115.2
3. Isotonic specific volume (90.2K ): 276.7
4. Surface tension (dyne/cm): 33.2
5. Polarizability: 13.47
Compute chemical data
1. Reference value for hydrophobic parameter calculation (XlogP): None
2. Number of hydrogen bond donors: 0
3. Number of hydrogen bond acceptors: 1
4. Number of rotatable chemical bonds: 0
5. Number of tautomers: none
6. Topological molecule polar surface area 12.9
7. Number of heavy atoms: 8
8. Surface charge: 0
9. Complexity: 62.8
10. Number of isotope atoms: 0
11. Determine the number of atomic stereocenters: 0
12. Uncertain number of atomic stereocenters: 0
13. Determine the number of chemical bond stereocenters: 0
14. Number of uncertain chemical bond stereocenters: 0
15. Number of covalent bond units: 1
Properties and stability
1. Its chemical properties are alkaline and can form salts with inorganic acids and organic acids. Forms addition compounds with inorganic salts and alkyl halides. When hydrogenated, 2,6-dimethylpiperidine is formed. When oxidized with permanganate, pyridine-2,6-dicarboxylic acid is generated. When 2,6-lutidine is in the gas phase, it becomes 2-methylpyridine and pyridine under the action of a dehydrogenation catalyst.
2. It is irritating and can damage the nervous system, liver and kidneys. Contact will cause irritation to the eyes, skin and mucous membranes, and may cause headache, dizziness, nausea, vomiting, mental retardation, abdominal pain, diarrhea, etc. This product is flammable and can cause combustion and explosion when exposed to high heat or open flame. It decomposes when heated and releases toxic nitrogen oxide fumes. Reacts violently on contact with oxidizing agents. The products of combustion (decomposition) are carbon monoxide, carbon dioxide, and nitrogen oxides. Therefore, use of this product should be done in a fume hood.
3. Stability[27] Stable
4. Incompatible substances[28] Strong oxidants, acids, acid chlorides, acid anhydrides
5. Polymerization hazards[29] No polymerization p>
Storage method
1. Storage precautions[30] Store in a cool, ventilated warehouse. The storage temperature should not exceed 37°C. Keep away from fire and heat sources. The packaging must be sealed and must not come into contact with air. They should be stored separately from oxidants, acids, etc., and avoid mixed storage. Use explosion-proof lighting and ventilation facilities. It is prohibited to use mechanical equipment and tools that are prone to sparks. The storage area should be equipped with emergency release equipment and suitable containment materials.
2. The warehouse should be kept cool and ventilated, away from fire sources, the warehouse temperature should be lower than 30℃, and protected from direct sunlight. Reagent: 100ml500ml reagent bottle; industrial product: 18kg/barrel 20kg/barrel. Place in a ventilated and dry place.
Synthesis method
1. It is separated from the β-methylpyridine fraction recovered from coal coking by-products.
Usually containing 3- and 4-methylpyridine, which is difficult to separate by fractional distillation. Generally, an azeotropic mixture with water (azeotropic point 95.5~96°C) is used for distillation to achieve the purpose of separation. There are other methods to form an adduct with urea for separation; a method to generate hydrochloride for separation; and treatment with a mixed solution of nickel sulfate and ammonium thiocyanide to form an adduct with 3- and 4-methylpyridine. Removal methods, etc.

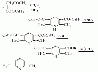
2. Ethyl acetoacetate method Ethyl acetoacetate is prepared by cyclization, oxidation, hydrolysis and alkaline hydrolysis.
3. Please refer to the literature [1] for its purification method.
Purpose
1. Widely used in organic synthesis. In the pharmaceutical industry, it can be used to produce the anti-atherosclerotic drug Xuemaining. It can also be used to produce broad-spectrum anthelmintics that are effective against roundworms, Fasciolopsis brucei, whipworms, pinworms, etc. As well as cortisone acetate, hydrocortisone, niacin, rebelin, and more. 2,6-lutidine can also be used as an intermediate for pesticides, dyes, printing and dyeing auxiliaries, resins, rubber vulcanization accelerators, and hot oil stabilizers. This product can be oxidized to obtain dipycolic acid, which can be used as a stabilizer for hydrogen peroxide and peracetic acid, and can also be used to synthesize lobeline. This product can also be used as a solvent. 2,6-Dimethylpyridine is used as a catalyst in the benzoylation reaction and can be used as a curing agent for epoxy resin.
2. This product is alkaline and can catalyze the silylation reaction of alcohols[2~7]; this reagent can also deprotect acetals[8 ].
Protection of alcohols In the presence of anhydrous 2,6-dimethylpyridine, the alcohol hydroxyl group can be silyletherified with a yield as high as 99%. This reaction is often used for natural products Protection of alcoholic hydroxyl groups in total synthesis. For example, in anhydrous methylene chloride (–78~0 oC), t-Bu(Me)2SiOTf (TBSOTf) and 2,6-lutidine can convert the secondary alcohol into silyl ether, thereby protecting the hydroxyl group, and the reaction proceeds almost quantitatively (Formula 1)[5]. t-Bu(Me)2SiOTf and 2,6-lutidine can also protect tertiary alcohols or inactive secondary alcohols (Formula 2)[5,6]. (Et)3SiOTf and 2,6-dimethylpyridine can protect sterically hindered tertiary alcohols[7].

Deprotection
strong> TMSOTf combined with 2,6-dimethylpyridine can chemically selectively deprotect acetal to generate aldehyde (formula 3)[8].

Corey-Fuchs reaction In the presence of Ph3P and 2,6-lutidine, the aldehyde reacts with CBr4 in dichloromethane to form terminal dibromoene ( Formula 4)[5].

Other types of reactions In the presence of 2,6-dimethylpyridine hydrochloride, the C-F bond can be converted into a C-H(D) bond (Formula 5)[9]. In addition, 2,6-lutidine has other applications [10,11].

3. Can be prepared in medicine It is used as medicine to treat various types of hypertension and first-aid medicine. It is also used as insecticide and dye auxiliary agent. [31]
ay_120214/201202141432409442.gif” alt=”” />
Deprotection TMSOTf is combined with 2,6-lutidine to chemically selectively deprotect acetals Deprotection generates aldehyde (formula 3)[8].

Corey-Fuchs reaction In the presence of Ph3P and 2,6-lutidine, aldehydes react with CBr 4 reacts in dichloromethane to form terminal dibromoene (formula 4)[5].

Other types of reactions In 2,6-lutidine hydrochloride In the presence of C-F bonds, C-F bonds can be converted into C-H(D) bonds (Formula 5)[9]. In addition, 2,6-dimethylpyridine has other applications[10 ,11].

3. In medicine, it can be used to prepare medicines for treating various types of hypertension and first-aid medicines. It is also used as pesticides and dye auxiliaries. [31]

微信扫一扫打赏
