
Structural formula
| Business number | 03DW |
|---|---|
| Molecular formula | C3H3N3O2S |
| Molecular weight | 145.14 |
| label |
5-nitro-2-thiazolamine, 2-amino-5-nitrothiazole, aminothiazole, acenitrothiazole, nitromethazole, Acetamide Nitrothiazole, amnitrozole, 2-amino-5-nitrothiazole, 2-amino-5-nitro-thiazol, 5-nitro-2-thiazolamin, 5-nitro-2-Thiazolamine, 5-nitro-2-thiazolylamine, aminonitrothiazole, aminonitrothiazolum, aminzol soluble, amnizol soluble, Heterocyclic compounds |
Numbering system
CAS number:121-66-4
MDL number:MFCD00005326
EINECS number:204-490-9
RTECS number:XJ2800000
BRN number:126797
PubChem number:24848112
Physical property data
1. Properties: light green to orange-yellow red velvety powder. Slightly bitter. Sensitive to light.
2. Density (g/mL, 25/4℃): Undetermined
3. Relative vapor density (g/mL, air=1): Undetermined
4. Melting point (ºC): 195~196
5. Boiling point (ºC, normal pressure): Undetermined
6. Boiling point (ºC, 5.2kPa): Undetermined
7. Refractive index: Undetermined
8. Flash point (ºC): Undetermined
9. Specific rotation (º): Undetermined Determined
10. Autoignition point or ignition temperature (ºC): Not determined
11. Vapor pressure (kPa, 25ºC): Not determined
12. Saturated vapor pressure (kPa, 60ºC): Undetermined
13. Heat of combustion (KJ/mol): Undetermined
14. Critical temperature (ºC): Undetermined
15. Critical pressure (KPa): Undetermined
16. Log value of oil-water (octanol/water) partition coefficient: Undetermined
17. Explosion upper limit ( %, V/V): Undetermined
18. Lower explosion limit (%, V/V): Undetermined
19. Solubility: 1g product dissolves in 150g 95% ethanol , 200g diethyl ether, soluble in dilute mineral acid, very slightly soluble.��Water, almost insoluble in chloroform.
Toxicological data
None
Ecological data
None
Molecular structure data
1. Molar refractive index: 33.51
2. Molar volume (cm3/mol): 86.2
3. Isotonic specific volume (90.2K): 265.8
4. Surface tension (dyne/cm): 90.2
5. Dielectric constant:
6. Dipole moment (10-24 cm3):
7. Polarizability: 13.28
Compute chemical data
1. Reference value for hydrophobic parameter calculation (XlogP): None
2. Number of hydrogen bond donors: 1
3. Number of hydrogen bond acceptors: 5
4. Number of rotatable chemical bonds: 0
5. Number of tautomers: 2
6. Topological molecule polar surface area 113
7. Number of heavy atoms: 9
8. Surface charge: 0
9. Complexity: 125
10. Number of isotope atoms: 0
11. Determine the number of atomic stereocenters: 0
12. Uncertain number of atomic stereocenters: 0
13. Determine the number of chemical bond stereocenters: 0
14. Number of uncertain chemical bond stereocenters: 0
15. Number of covalent bond units: 1
Properties and stability
1. Light green to orange-yellow red velvety powder. Slightly bitter. Sensitive to light. 1g of product is soluble in 150g 95% ethanol, 200g ether, soluble in dilute mineral acid, very slightly soluble in water, and almost insoluble in chloroform. Melting point 195~196℃. Decomposes at 202°C. Maximum absorption wavelength (0.0005%, in water): 386nm (ε 0.540). Minimum absorption wavelength: 295nm. Potentially carcinogenic.
2. Poisonous. Irritate the skin, causing dermatitis, urticaria, skin browning, hypothyroidism, loss of appetite, nausea, vomiting, etc. Production equipment should be sealed and the workshop should have good ventilation. Operators wear protective equipment.
Storage method
This product should be sealed and stored away from light.
Package in iron drums, wooden drums or plastic drums lined with plastic bags. Store in a cool, ventilated place. Protect from heat, sun and moisture. Store and transport according to regulations on toxic chemicals.
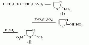
Synthesis method
Use chloroacetaldehyde as raw material, react with thiourea to prepare 2-aminothiazole (I), and then nitrate it into 2-amino-5-nitro Thiazole (II).

Purpose
Dye intermediates. Used as an important intermediate in the preparation of azo heterocyclic dyes, such as Disperse Blue 102 (Disperse Blue FG), 82, 106, and 284.

微信扫一扫打赏
