
Structural formula
| Business number | 0317 |
|---|---|
| Molecular formula | C6H8O2 |
| Molecular weight | 112.13 |
| label |
(2E,2E)-2,4-hexadienoic acid, 2,4-hexadienoic acid, Aryanic acid, Aryanic acid, Herbal tea acid, (2E,4E)-2,4-Hexadienoic acid, trans-2,4-Hexadienoic acid, 2-Propenylacrylic acid, fungicides, acidic solvent |
Numbering system
CAS number:110-44-1
MDL number:MFCD00002703
EINECS number:203-768-7
RTECS number:WG2100000
BRN number:1741831
PubChem number:24899486
Physical property data
1. Properties: White needle-like crystals or crystalline powder with a special sour smell. It will oxidize and change color if left in the air for a long time. 2. Density (g/mL, 25℃): 1.204
3. Relative vapor density (g/mL, air=1): Undetermined
4. Melting point (ºC): 134.5
p>
5. Boiling point (ºC, decomposition): 228 (dec), 153ºC (6665pa)
6. Boiling point (ºC, kPa): Undetermined
7. Refractive index: Undetermined
8. Flash point (ºC): 127
9. Specific rotation (º): Undetermined
10. Autoignition point Or ignition temperature (ºC): Undetermined
11. Vapor pressure (mmHg, 20ºC): 0.01
12. Saturated vapor pressure (kPa, ºC): Undetermined
p>
13. Heat of combustion (KJ/mol): Undetermined
14. Critical temperature (ºC): Undetermined
15. Critical pressure (KPa): Undetermined Determined
16. Logarithmic value of oil-water (octanol/water) partition coefficient: Undetermined
17. Explosion upper limit (%, V/V): Undetermined
18. Lower explosion limit (%, V/V): Undetermined
19. Solubility: Slightly soluble in water, soluble in propylene glycol, absolute ethanol and methanol, glacial acetic acid, acetone, benzene , carbon tetrachloride, cyclohexane, dioxane, glycerol, isopropyl alcohol, isopropyl ether, methyl acetate, toluene.
Toxicological data
1. Irritation: Human skin standard Drez eye dye test: 150mg/1H severe irritation.
Rabbit skin standard Drez eye dye test: 1mg is severely irritating.
2. Acute toxicity: Rat oral LD5O: 7360mg/kg
Rat abdominal LD5O: 800mg/kg
Mouse oral LC5O: 3200mg /kg
Mouse abdominal LC5O: 2820mg/kg
Mouse subcutaneous LC5O: 2820mg/kg
Rabbit skin LD: >1gm/kg
3. Oncogenicity: Rat subcutaneous TDLO: 1040mg/kg/65W-I
4. Mutagenicity: Hamster lung cytogenetic analysis: 1050mg/L
Hamster lung sister chromatid exchange: 1050mg/L
Ecological data
This substance is slightly harmful to water bodies.
Molecular structure data
1. Molar refractive index: 31.52
2. Molar volume (cm3/mol): 109.4
3. Isotonic specific volume (90.2K ): 267.0
4. Surface tension (dyne/cm): 35.4
5. Polarizability (10-24cm3): 12.49
Compute chemical data
1. Hydrophobic parameter calculation reference value (XlogP): 1.3
2. Number of hydrogen bond donors: 1
3. Number of hydrogen bond acceptors: 2
4. Number of rotatable chemical bonds: 2
5. Number of tautomers:
6. Topological molecular polar surface area (TPSA): 37.3
7. Number of heavy atoms: 8
8. Surface charge: 0
9. Complexity: 123
10. Number of isotope atoms: 0
11. Determine the number of atomic stereocenters: 0
12. Uncertain number of atomic stereocenters: 0
13. Determine the number of chemical bond stereocenters Number: 2
14. Number of uncertain chemical bond stereocenters: 0
15. Number of covalent bond units: 1
Properties and stability
1. It will not decompose under normal temperature and pressure, avoid contact with strong oxides.
2.This product has low toxicity. The oral LD50 in rats is 8000mg/kg. The equipment should be sealed and operators should wear masks and rubber gloves.
3. Exist in oriental tobacco leaves and smoke.
4. It exists in trace amounts in unripe sorbet juice.
Storage method
1. Store in a cool, ventilated warehouse. Keep away from fire and heat sources. Keep container tightly sealed. should be kept away from oxidizer, do not store together. It is prohibited to use mechanical equipment and tools that are prone to sparks. The storage area should be equipped with emergency release equipment and suitable containment materials.
2. Packed in plastic bags and plastic lining, outer woven bags or paper barrels. Net weight 1kg, 5kg. Pay attention to moisture and sun protection, do not come into contact with other chemicals, and store and transport it according to the regulations of first-class chemicals.
Synthesis method
1. The ketene method is currently the most commonly used method in industrial production in the world. Acetic acid is cracked at high temperature to generate ketene, which is then condensed with crotonaldehyde to form polyester, which is then hydrolyzed and refined to obtain the finished product. Raw material consumption quota: ketene 510kg/t, crotonaldehyde 1100kg/t.
![]()
2. Malonic acid method It is obtained by condensation and decarboxylation of malonic acid and crotonaldehyde.
![]()
3. The acetone method consists of acetone and Crotonaldehyde is condensed and then dehydrogenated.

p>
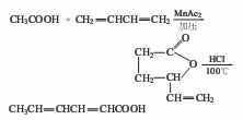
4. The butadiene method uses butadiene and acetic acid as raw materials, and compresses and combines them at 140°C in the presence of manganese acetate catalyst to prepare γ-ethylene-γ-butyrolactone. Butyrolactone is ring-opened under the action of acidic ion exchange resin to obtain sorbic acid.

5.Acetic acid is cracked at high temperature to generate ketene, which is then condensed with crotonaldehyde to form polyester, which is then hydrolyzed and refined to obtain the finished product.
6. Tobacco: OR, 44; OR, 26. At 0ºC, crotonaldehyde and ketene are reacted under the catalysis of boron trifluoride; or it is produced by heating 2-butenal and malonic acid in the presence of pyridine.
Purpose
1. Widely used in food, beverage, pickles, tobacco, medicine, cosmetics, agricultural products and other industries. It is also used in the preparation of preservatives, antifungal agents, insecticides and synthetic rubber industries. Inhibitor of mold and yeast. Food antifungal agent. Dry oil denaturant. Fungicides. 2.Sorbic acid and potassium sorbate are currently the most widely used preservatives in the world. They have high antibacterial properties, inhibit the growth and reproduction of mold, and inhibit the growth and reproduction of microorganisms in the body. The dehydrogenase system inhibits the growth of microorganisms and plays a preservative role. It has inhibitory effects on molds, yeasts and many aerobic bacteria, but is almost ineffective against anaerobic spore-forming bacteria and Lactobacillus acidophilus. It is widely used for the preservation of various cheese products such as cheese and yogurt, bakery products, beverages, juices, jams, pickles and fish products. The dosage of concentrated fruit and vegetable juices in plastic barrels shall not exceed 2g/kg; in soy sauce, vinegar, jams, hydrogenated vegetable oil, gummies, and dried fish The maximum usage amount in finished products, instant soy products, pastry fillings, bread, cakes, and moon cakes is 1.0g/kg; the maximum usage amount in wine and fruit wine is 0.8g/kg; the maximum usage amount is 0.5 in collagen casings, low-salt pickles, sauces, preserves, juice (flavor) drinks and jellyg/kg; the maximum usage amount in fruit and vegetable preservation and carbonated drinks is 0.2g/kg; In the food industry, it can be used in meat, fish, eggs, and poultry products at a maximum dosage of 0.075g/kg. 3.Used in detergents, cosmetics, feed, medicine, etc.
The dosage in vegetable juices shall not exceed 2g/kg; in soy sauce, vinegar, jams, hydrogenated vegetable oil, gummies, dried fish products, and instant beans The maximum usage amount in products, pastry fillings, bread, cakes and moon cakes is 1.0g/kg; the maximum usage amount in wine and fruit wine is 0.8g/kg; the maximum usage amount is 0.5 in collagen casings, low-salt pickles, sauces, preserves, juice (flavor) drinks and jellyg/kg; the maximum usage amount is 0.2g/kg in fruit and vegetable preservation and carbonated drinks; in the food industry It can be used in meat, fish, eggs, and poultry products at a maximum dosage of 0.075g/kg. 3.Used in detergents, cosmetics, feed, medicine, etc.

微信扫一扫打赏
