
Structural formula
| Business number | 01RV |
|---|---|
| Molecular formula | C10H9NO3S |
| Molecular weight | 223.25 |
| label |
2-amino-1-naphthalenesulfonic acid; 2-naphthylamine-1-sulfonic acid, 2-Amino-1-naphthalenesulfonic acid, 2-Naphthylamine-1-sulfonic acid, aromatic sulfur compounds |
Numbering system
CAS number:81-16-3
MDL number:MFCD00003988
EINECS number:201-331-5
RTECS number:QK1250000
BRN number:613084
PubChem number:24857514
Physical property data
1. Properties: Those that crystallize in hot water are colorless and transparent flaky crystals, those that crystallize in cold water are white needle-like hydrated crystals.
2. Density (g/mL, 25/4℃): Uncertain
3. Relative vapor density (g/mL, air=1): Uncertain
4. Melting point (ºC): Uncertain
5. Boiling point (ºC, normal pressure): Uncertain
6. Boiling point (ºC, 5.2kPa): Uncertain Confirm
7. Refractive index: Uncertain
8. Flash point (ºC): Uncertain
9. Specific rotation (º): Uncertain
10. Autoignition point or ignition temperature (ºC): Uncertain
11. Vapor pressure (kPa, 25ºC): Uncertain
12. Saturation Vapor pressure (kPa, 60ºC): Uncertain
13. Heat of combustion (KJ/mol): Uncertain
14. Critical temperature (ºC): Uncertain
15. Critical pressure (KPa): Uncertain
16. Log value of oil-water (octanol/water) partition coefficient: Uncertain
17. Explosion upper limit (% , V/V): Uncertain
18. Lower explosion limit (%, V/V): Uncertain
19. Solubility: soluble in hot water, slightly soluble in cold water , very slightly soluble in ethanol and ether.
Toxicological data
1. Acute toxicity
Mouse caliber LD50: 19400mg/kg
2. Neurotoxicity
Rabbit eye test: 500mg/24H
Ecological data
None yet
Molecular structure data
1. Molar refractive index: 58.27
2. Molar volume (cm3/mol): 148.6
3. Isotonic specific volume (90.2K ): 433.1
4. Surface tension (dyne/cm): 72.1
5. Polarizability (10-24cm3): 23.10
Compute chemical data
1. Reference value for hydrophobic parameter calculation (XlogP): 1.8
2. Number of hydrogen bond donors: 2
3. Number of hydrogen bond acceptors: 4
4. Number of rotatable chemical bonds: 1
5. Topological molecular polar surface area (TPSA): 80.4
6. Number of heavy atoms: 15
7. Surface charge: 0
8. Complexity: 322
9. Number of isotope atoms: 0
10. Determine the number of atomic stereocenters: 0
11. Uncertain number of atomic stereocenters: 0
12. Determine the number of chemical bond stereocenters: 0
13. Number of uncertain stereocenters of chemical bonds: 0
14. Number of covalent bond units: 1
Properties and stability
Easily oxidized and toxic LD501.9g/kg will have a certain irritating effect after instilling 500mg into the eyes of rabbits for 24 hours. Operators should wear protective equipment.
Toxic, oral LD50 in rats: 1900 mg/kg. The raw material 2-naphthol is toxic, has a strong irritating effect on the skin and mucous membranes, is easily absorbed through the skin, and is highly corrosive; chlorosulfonic acid is a first-class inorganic acid corrosive and can cause severe burns in contact with the skin.
Storage method
This product should be stored in a sealed, cool, dry place away from light.
Packed in sacks lined with plastic bags, polypropylene woven bags or wooden boxes. Net weight of each bag is 50kg. Store in a cool, dry and ventilated place. During storage and transportation, pay attention to sun protection, moisture protection and fire protection. Store and transport according to regulations for toxic chemicals
Synthesis method
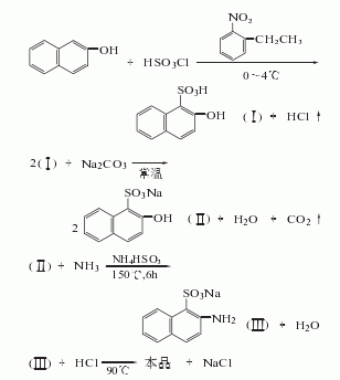
2-naphthol is sulfonated with chlorosulfonic acid in o-nitroethylbenzene solvent to generate 2-naphthol-1-sulfonic acid, which is neutralized with soda ash 2-Naphthol-1-sodium sulfonate is separated and ammonolyzed with liquid ammonia in the presence of ammonium bisulfite to obtain 2-naphthylamine-1-sodium sulfonate, which is then acidified with hydrochloric acid and filtered to obtain 2-naphthylamine. Amine-1-sulfonic acid.

Purpose
Used in organic synthesis. Dye intermediates. Mainly used for the preparation of J acid, bis J acid, scarlet acid, gamma acid, naphthol AS-SW, reactive red K-1613, brilliant red K-10B, reactive brilliant red M-3BE, organic purple red, Lisol purple red, Lisol Red R, etc., as well as fluorescent whitening agents, etc.
Mainly used in the dye industry as an intermediate for azo dyes, azo pigments and optical brighteners.

微信扫一扫打赏
