
Structural formula
| Business number | 01RT |
|---|---|
| Molecular formula | C14H14N2O6S2 |
| Molecular weight | 370.4 |
| label |
amsonic acid, aromatic sulfur compounds |
Numbering system
CAS number:81-11-8
MDL number:MFCD00024946
EINECS number:201-325-2
RTECS number:WJ6603000
BRN number:629516
PubChem number:24869958
Physical property data
1. Properties: yellow or light yellow needle-like hygroscopic crystals, industrial products are light yellow paste.
2. Density (g/mL, 25/4℃): Uncertain
3. Relative vapor density (g/mL, air=1): Uncertain
4. Melting point (ºC): >325
5. Boiling point (ºC, normal pressure): Uncertain
6. Boiling point (ºC, 5.2kPa): Uncertain Confirm
7. Refractive index: Uncertain
8. Flash point (ºC): Uncertain
9. Specific rotation (º): Uncertain
10. Autoignition point or ignition temperature (ºC): Uncertain
11. Vapor pressure (kPa, 25ºC): Uncertain
12. Saturation Vapor pressure (kPa, 60ºC): Uncertain
13. Heat of combustion (KJ/mol): Uncertain
14. Critical temperature (ºC): Uncertain
15. Critical pressure (KPa): Uncertain
16. Log value of oil-water (octanol/water) partition coefficient: Uncertain
17. Explosion upper limit (% ,V/V): Uncertain
18. Lower explosion limit (%,V/V): Uncertain
19. Solubility: Very slightly soluble in water, soluble in ethanol and diethyl ether, easily soluble in alkaline solutions.
Toxicological data
1. Acute toxicity
Pig caliber LD50: 47mg/kg;
2. Reproductive toxicity:
Rat abdominal TDLO: 300 mg/kgSEX/DURATION
Ecological data
None yet
Molecular structure data
1. Molar refractive index: 88.56
2. Molar volume (cm3/mol): 222.7
3. Isotonic specific volume (90.2K ): 690.8
4. Surface tension (dyne/cm): 92.5
5. Polarizability (10-24cm3): 35.11
Compute chemical data
1. Reference value for hydrophobic parameter calculation (XlogP): 0.3
2. Number of hydrogen bond donors: 4
3. Number of hydrogen bond acceptors: 8
4. Number of rotatable chemical bonds: 4
5. Topological molecular polar surface area (TPSA): 161
6. Number of heavy atoms: 24
7. Surface charge: 0
8. Complexity: 606
9. Number of isotope atoms: 0
10. Determine the number of atomic stereocenters: 0
11. Uncertain number of atomic stereocenters: 0
12. Determined number of chemical bond stereocenters: 1
13. Uncertain chemical bond stereocenters Number of centers: 0
14. Number of covalent bond units: 1
Properties and stability
Toxic and irritating to skin. Avoid accidental ingestion and direct contact with the human body. Operators should wear labor protection equipment.
Storage method
This product should be stored in a sealed, cool, dry place away from light.
Packaged in wooden or iron drums lined with plastic bags. 50kg per barrel. Store in a cool, ventilated warehouse and keep sealed. Storage period is half a year. Store and transport according to regulations on toxic chemicals.
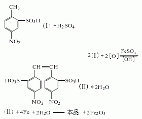
Synthesis method
It is formed by sulfonation of p-nitrotoluene into p-nitrotoluene orthosulfonic acid, which is then catalytically oxidized into 4,4′-dinitrostilbene disulfonic acid, and then reduced.


Purpose
Used for making fluorescent whitening agents and direct dyes.
As a dye intermediate, DSD acid is the main raw material for the production of stilbene series fluorescent whitening agent VBL; it is also an important intermediate for direct dyes and reactive dyes. It can produce hundreds of varieties such as Direct Frozen Yellow G, Direct Brilliant Yellow 4R, Active Bright Yellow KD-3G, Sunfast Orange F3G, etc. It can also be used as a moth repellent.

微信扫一扫打赏
