
Structural formula
| Business number | 01CZ |
|---|---|
| Molecular formula | C9H11NO2 |
| Molecular weight | 165.19 |
| label |
(S)-2-Amino-3-phenylpropionic acid, α-Amino-β-phenylpropionic acid, (S)-2-Amino-3-phenylpropionic acid, a-Amino-β-phenylpropionic, (S)-(-)-Phenylalanine, Aromatic nitrogen-containing compounds and their derivatives, amino acid drugs, intermediates, Biochemical reagents |
Numbering system
CAS number:63-91-2
MDL number:MFCD00064227
EINECS number:200-568-1
RTECS number:AY7535000
BRN number:1910408
PubChem number:24898274
Physical property data
1. Properties: colorless to white flaky crystals or white crystalline powder. Slightly special smell and bitter taste
2. Density (g/mL, 25/4℃): 1.201
3. Relative steam density (g/mL, air=1): Uncertain
4. Melting point (ºC): 283(dec.)(lit.)
5. Boiling point (ºC, normal pressure): Uncertain
6. Boiling point (ºC, 5.2kPa): Uncertain
7. Refractive index: -34 ° (C=2, H2O)
8. Flash point (ºC): Uncertain
9. Specific optical rotation (º): -34.1 º (c=2, water, dry basis)
10. Autoignition point or ignition temperature (ºC): Uncertain
11. Vapor pressure (kPa, 25ºC): Uncertain
12. Saturated vapor pressure (kPa, 60ºC): Uncertain
13. Heat of combustion (KJ/mol): Uncertain
14. Critical temperature (ºC): Uncertain
15. Critical pressure (KPa): Uncertain
16. Log value of oil-water (octanol/water) partition coefficient: Uncertain
17. Explosion upper limit (%, V/V): Uncertain
18. Explosion lower limit (%, V/V): Uncertain
19. Solubility: Soluble in water (3g/100ml, 25℃). Slightly soluble in ethanol, dilute inorganic acids and alkaline solutions.
Toxicological data
None yet
Ecological data
None yet
Molecular structure data
1. Molar refractive index: 45.49
2. Molar volume (cm3/mol): 137.4
3. Isotonic specific volume (90.2K ): 371.8
4. Surface tension (dyne/cm): 53.5
5. Polarizability (10-24cm3): 18.03
Compute chemical data
1. Reference value for hydrophobic parameter calculation (XlogP): None
2. Number of hydrogen bond donors: 2
3. Number of hydrogen bond acceptors: 3
4. Number of rotatable chemical bonds: 3
5. Number of tautomers: none
6. Topological molecule polar surface area 63.3
7. Number of heavy atoms: 12
8. Surface charge: 0
9. Complexity: 153
10. Number of isotope atoms: 0
11. Determine the number of atomic stereocenters: 1
12. Uncertain number of atomic stereocenters: 0
13. Determine the number of chemical bond stereocenters: 0
14. Number of uncertain chemical bond stereocenters: 0
15. Number of covalent bond units: 1
Properties and stability
1. Soluble in water, slightly soluble in ethanol and ether. It has a slightly bitter taste, is stable in the air in a dry state, has levorotatory optical activity, and is one of the 8 essential amino acids for the human body.
2. Harmful if inhaled, ingested or in contact. If this product is taken by mistake, and the person who takes it is conscious and does not experience convulsions, he can drink 1 to 2 glasses of water to dilute it and then send him to the hospital immediately. Protective equipment should be worn.
3. Exist in tobacco leaves and smoke .
Storage method
1. This product should be sealed and stored in a cool, dry place away from light.
2. Packed in paper drum, 25kg/drum. Keep away from strong oxidizing agents.
Synthesis method
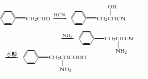
1. The yield of phenylalanine prepared by synthetic methods is low, and it is usually extracted from natural products. After hydrolyzing defatted soybeans with hydrochloric acid, the acidic amino acids are removed, and activated carbon or decolorizing resin is used to adsorb phenylalanine and tyrosine. Then, phenylalanine is dissolved and separated using a solvent. It is also possible to use the method of first converting phenylalanine in the hydrolyzate into 2,5-dibromobenzenesulfonate, and then using the difference in solubility to separate it from amino acids such as leucine and arginine.

2.After hydrolyzing defatted soybeans with hydrochloric acid, the acidic amino acids are removed, and activated carbon or decolorizing resin is used to absorb phenylalanine and tyrosine. Then use a solvent to dissolve and separate the phenylalanine.

3.Direct fermentation method

4. Tobacco: BU, 22; FC, 21.
Purpose
1. Biochemical research. Prepare culture medium. Nutritional research. 2.L-phenylalanine is one of the essential amino acids. Used as an ingredient in nutritional fortifiers, amino acid infusions and complex amino acid preparations. This product is the raw material for a variety of anti-cancer drugs and dipeptide sweeteners. 3.Amino acid drugs. It is used in amino acid infusions, comprehensive amino acid preparations and nutritional fortifiers, and is widely used in the synthesis of new sweetener aspartame (dipeptide methyl ester combined with L-aspartic acid and L-phenylalanine). 4. It is the main raw material for synthesizing aspartame.

微信扫一扫打赏
