
Structural formula
| Business number | 01L5 |
|---|---|
| Molecular formula | C27H28Br2O5S |
| Molecular weight | 624.38 |
| label |
bromothymol blue, 3,3′-dibromothymolsulfonyl phthalide, Bromothymol blue, Bromothymol blue, 3,3′-Dibromothymolsulfonphthalein, 3,3′-Dibromothymolsulfophthalein, Dibromothymolsulfophthalein, Thymol, 6,6′-(3H-2,1-benzoxathiol-3-ylidene)bis[2-bromo-, S,S-dioxide, 3,3′-Dibromothymol |
Numbering system
CAS number:76-59-5
MDL number:MFCD00005872
EINECS number:200-971-2
RTECS number:SJ7450000
BRN number:373934
PubChem number:24847171
Physical property data
1. Properties: nearly white or milky white crystals.
2. Density (g/mL, 25/4℃): Undetermined
3. Relative vapor density (g/mL, air=1): Undetermined
>
4. Melting point (ºC): 200~202
5. Boiling point (ºC, normal pressure): Undetermined
6. Boiling point (ºC, 5.2kPa): Undetermined
7. Refractive index: Undetermined
8. Flash point (ºC): Undetermined
9. Specific rotation (º): Undetermined Determined
10. Autoignition point or ignition temperature (ºC): Not determined
11. Vapor pressure (kPa, 25ºC): Not determined
12. Saturated vapor pressure (kPa, 60ºC): Undetermined
13. Heat of combustion (KJ/mol): Undetermined
14. Critical temperature (ºC): Undetermined
15. Critical pressure (KPa): Undetermined
16.Log value of oil-water (octanol/water) partition coefficient: Undetermined
17. Explosion upper limit (%, V/V): Undetermined
18. Explosion lower limit (%, V/V): Undetermined
19. Solubility: Soluble in ethanol, ether, methanol and dilute alkali hydroxide solution, slightly soluble in benzene, toluene and xylene, slightly soluble in water,
Toxicological data
None yet
Ecological data
None yet
Molecular structure data
1. Molar refractive index: 144.79
2. Molar volume (cm3/mol): 404.8
3. Isotonic specific volume (90.2K ): 1098.1
4. Surface tension (dyne/cm): 54.1
5. Polarizability (10-24cm3): 57.40
Compute chemical data
1. Reference value for hydrophobic parameter calculation (XlogP): 7.6
2. Number of hydrogen bond donors: 2
3. Number of hydrogen bond acceptors: 5
4. Number of rotatable chemical bonds: 4
5. Number of tautomers: 45
6. Topological molecule polar surface area 92.2
7. Number of heavy atoms: 35
8. Surface charge: 0
9. Complexity: 818
10. Number of isotope atoms: 0
11. Determine the number of atomic stereocenters: 0
12. Uncertain number of atomic stereocenters: 0
13. Determine the number of chemical bond stereocenters: 0
14. Number of uncertain chemical bond stereocenters: 0
15. Number of covalent bond units: 1
Properties and stability
1.Quinoformhydrate is a red crystal.
Storage method
This product should be sealed and stored in a cool and dry place.
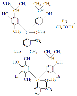
Synthesis method
1. Under stirring, pass bromine into the glacial acetic acid suspension of thymol blue, and the reaction is carried out at 50°C to prepare it. Preparation of thymol blue: After the condensation reaction of thymol and o-sulfobenzoic anhydride, thymol blue is generated.
2.Slowly add excess bromine-glacial acetic acid solution to thymol blue aqueous acetic acid solution under stirring, at 40~ React for 4 hours at 50°CAfter the reaction is completed, cool to below 20°C, filter and dry to obtain colorless bromothymol blue.

Purpose
1. Used as an acid-base indicator, with a pH discoloration range of 6.0 (yellow) to 7.6 (blue). Also used as adsorption indicator.
2.Used as an extraction and separation agent for the photometric determination of quaternary ammonium cations.

微信扫一扫打赏
