
Structural formula
| Business number | 026P |
|---|---|
| Molecular formula | C10H10ClNO2 |
| Molecular weight | 211.64 |
| label |
2-Chloro-N-acetoacetanilide, N-(2-chlorophenyl)-3-oxobutanamide, N-acetoacetyl o-chloroaniline, o-Aetoacetochloranilide, n-(2-Chlorophenyl)-3-oxo-butaneamid, Aromatic nitrogen-containing compounds and their derivatives |
Numbering system
CAS number:93-70-9
MDL number:MFCD00018224
EINECS number:202-269-1
RTECS number:None
BRN number:None
PubChem ID:None
Physical property data
1. Properties: White crystalline powder. Its chemical activity is quite similar to ethyl acetoacetate and is non-flammable.
2. Density (g/mL, 25/4℃): 1.438
3. Relative vapor density (g/mL, air=1): Undetermined
4. Melting point (ºC): 107
5. Boiling point (ºC, normal pressure): Undetermined
6. Boiling point (ºC, 5.2kPa): Undetermined
7. Refractive index: Undetermined
8. Flash point (ºC): 177 (open cup)
9. Specific rotation (º): Undetermined Determined
10. Autoignition point or ignition temperature (ºC): Undetermined
11. Vapor pressure (kPa, 20ºC): 1.33×10-2kPa
12. Saturated vapor pressure (kPa, 60ºC): Undetermined
13. Heat of combustion (KJ/mol): Undetermined
14. Critical temperature (ºC): Undetermined
15. Critical pressure (KPa): Undetermined
16. Log value of oil-water (octanol/water) partition coefficient: Undetermined
17. Explosion upper limit (%, V/V): Undetermined
18. Explosion lower limit (%, V/V): Undetermined
19. Solubility: soluble in alcohol, insoluble In water and ether.
Toxicological data
Low toxicity.
Ecological data
None yet
Molecular structure data
1. Molar refractive index: 54.71
2. Molar volume (cm3/mol): 164.6
3. Isotonic specific volume (90.2K ): 431.5
4. Surface tension (dyne/cm): 47.2
5. Polarizability (10-24cm3): 21.69
Compute chemical data
1. Reference value for hydrophobic parameter calculation (XlogP): None
2. Number of hydrogen bond donors: 1
3. Number of hydrogen bond acceptors: 2
4. Number of rotatable chemical bonds: 3
5. Number of tautomers: 8
6. Topological molecule polar surface area 46.2
7 .Number of heavy atoms: 14
8. Surface charge: 0
9. Complexity: 230
10. Number of isotope atoms: 0
11. Determine the number of atomic stereocenters: 0
12. Uncertain number of atomic stereocenters: 0
13. Determine the number of chemical bond stereocenters: 0
14. Number of uncertain chemical bond stereocenters: 0
15. Number of covalent bond units: 1
Properties and stability
Low toxicity.
Storage method
This product should be sealed and stored in a cool, dry place.
Packaged in round iron drums lined with plastic bags, with a net weight of 30kg per drum. Store in a ventilated and dry place. Protect from light, sun and moisture. Store and transport according to general chemical regulations.
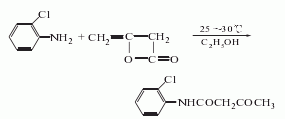
Synthesis method
Originated from the reaction of o-chloroaniline and diketene. The reaction is carried out in ethanol medium, and the fine product is obtained by condensation at 25-30°C, which is then filtered, washed, and dried to obtain the finished product. This product can also be obtained by dissolving o-chloroaniline in benzene and adding ethyl acetoacetate dropwise. Raw material consumption quota: o-chloroaniline (99%) 625kg/t, diketene (96%) 414kg/t, alcohol (95%) 200kg/t.

Purpose
Used as a dye intermediate for the production of Pigment Yellow 10G, Pigment Yellow GP, and the production of dye intermediates 1-(2-chlorophenyl)3-methyl-5-pyrazolinone, etc., and can also be further used Produces neutral dyes, such as neutral bright yellow 3GL, neutral dark brown BRL, neutral orange RL, etc.

微信扫一扫打赏
