
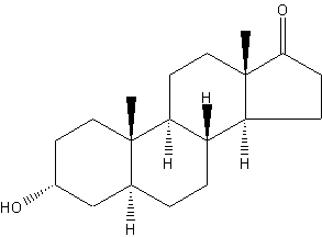
Structural formula
| Business number | 015Z |
|---|---|
| Molecular formula | C19H30O2 |
| Molecular weight | 290.44 |
| label |
Androsterone, androstenone, 3α-hydroxy-5α-androstane-17-one, 5α-androstane-3A-ol-17-one, androsterone, cis-ketolated sterols, cis-androgenone, cis-androsterone, androsterone, 3α-Hydroxy-5α-androstan-17-one, 5α-Androstan-3α-ol-17-one |
Numbering system
CAS number:53-41-8
MDL number:MFCD00003618
EINECS number:200-173-4
RTECS number:BV8053000
BRN number:2217626
PubChem number:24869692
Physical property data
1. Character:White crystal or powder. Odorless. Sublime in a vacuum. Not precipitated by digitonin.
2. Density ( g/mL,25/4℃): Undetermined
3. Relative vapor density (g/mL,Air=1): Undetermined
4. Melting point ( ºC): 185~185.5
5. Boiling point ( ºC,Normal pressure): Undetermined
6. Boiling point ( ºC,5.2kPa): Undetermined
7. Refractive Index: Undetermined
8. Flashpoint (ºC): Undetermined
9. Specific optical rotation (º): +94.6° (C=0.7, in anhydrous ethanol),[α]D15 +87.8°(C=1.5, in dioxane).
10.8400ug/kg, 21 days before mating; intramuscular TDLo in female rats: 80mg/kg, 13-20 days later to conceive
Ecological data
None
Molecular structure data
1. Molar refractive index: 83.49
2. Molar volume (m3/mol):267.6
3. isotonic ratio(90.2K):677.7
4. Surface Tension(dyne/cm):41.1
5. Polarizability(10-24cm3):33.10
Compute chemical data
1. Reference value for hydrophobic parameter calculation (XlogP): None
2. Number of hydrogen bond donors: 1
3. Number of hydrogen bond acceptors: 2
4. Number of rotatable chemical bonds: 0
5. Number of tautomers: 2
6. Topological molecule polar surface area 37.3
7. Number of heavy atoms: 21
8. Surface charge: 0
9. Complexity: 459
10. Number of isotope atoms: 0
11. Determine the number of atomic stereocenters: 7
12. Uncertain number of atomic stereocenters: 0
13. Determine the number of chemical bond stereocenters: 0
14. Number of uncertain chemical bond stereocenters: 0
15. Number of covalent bond units: 1
Properties and stability
None
Storage method
This product should be kept sealed.
Synthesis method
None
Purpose
Biochemical research . Androgens and anabolic hormones.
Number of stereocenters: 7
12. Number of uncertain atom stereocenters: 0
13. Determined number of stereocenters of chemical bonds: 0
14 .The number of uncertain chemical bond stereocenters: 0
15. The number of covalent bond units: 1
Properties and stability
None
Storage method
This product should be kept sealed.
Synthesis method
None
Purpose
Biochemical research . Androgens and anabolic hormones.

微信扫一扫打赏
