
Structural formula
| Business number | 0297 |
|---|---|
| Molecular formula | C6H4Cl2 |
| Molecular weight | 147.00 |
| label |
o-Dichlorobenzene, o-Dichlorobenzene, Aromatic halogen derivatives, Liquid crystal materials and intermediates |
Numbering system
CAS number:95-50-1
MDL number:MFCD00000535
EINECS number:202-425-9
RTECS number:CZ4500000
BRN number:606078
PubChem number:24854428
Physical property data
1. Properties: Colorless and volatile liquid with aromatic smell. [1]
2. Melting point (℃): -17.5[2]
3. Boiling point (℃): 180.4[3]
4. Relative density (water = 1): 1.30[4]
5. Relative vapor Density (air=1): 5.05[5]
6. Saturated vapor pressure (kPa): 0.133 (20℃)[6]
7. Heat of combustion (kJ/mol): -2725.38[7]
8. Critical temperature (℃): 417.2[8]
9. Critical pressure (MPa): 4.03[9]
10. Octanol/water partition coefficient: 3.43 [10]
11. Flash point (℃): 66 (CC); 68 (OC) [11]
12. Ignition temperature (℃): 647[12]
13. Explosion limit (%): 9.2[13]
14. Lower explosion limit (%): 2[14]
15. Solubility: insoluble in water, soluble in most organic solvents such as ethanol, ether, and benzene. [15]
16. Viscosity (mPa·s, 25ºC): 1.324
17. Flash point (ºC, closed): 66.1
18. Flash point (ºC, open): 73.9
19. Fire point (ºC): 648
20. Heat of vaporization (KJ/mol, b.p.): 39.69
21. Heat of fusion (KJ/mol): 12.60
22. Heat of formation (KJ/mol): 18.42
23. Heat of combustion (KJ/ mol, 25ºC, liquid): 2964.13
24. Specific heat capacity (KJ/(kg·K), 0ºC, liquid): 1.13
25. Electrical conductivity (S/m, 25ºC ): 3×10-11
26. Solubility (%, water, 20ºC): 0.0134
27. Volume expansion coefficient (K -1, 20ºC): 0.00085
28. Relative density (25℃, 4℃): 1.3007
29. Refractive index at room temperature (n25): 1.527870
30. Solubility parameter (J·cm-3)0.5: 20.311
31.van der Waals area (cm2·mol-1): 8.220×109
32. van der Waals volume (cm3·mol-1): 87.300
33. Liquid phase standard claims heat (enthalpy )( kJ·mol-1): -17.5
34. Liquid phase standard hot melt (J·mol-1·K -1): 170.9
35. The gas phase standard claims heat (enthalpy) (kJ·mol-1): 30.2
36. Gas phase standard entropy (J·mol-1·K-1): 341.96
37. Gas phase standard formation free energy (kJ·mol-1): 83.0
38. Gas phase standard hot melt (J·mol-1·K-1): 113.43
Toxicological data
1. Acute toxicity:
Mouse oral LC5O: 4386mg/kg; rat oral LD50: 500mg/kg; rabbit
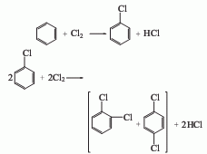
1. Recycling of chlorobenzene by-products Whether chlorobenzene is produced using the benzene liquid-phase chlorination method or the benzene gas-phase oxychlorination method, dichlorobenzene is co-produced. According to the actual demand, the production ratio of monochlorobenzene and dichlorobenzene can be adjusted by changing the chlorination process conditions. According to the current process control conditions and production conditions of chlorobenzene, the ratio of chlorobenzene to dichlorobenzene is 30-35:1. The industrial methods for separating o- and para-dichlorobenzene mainly include distillation and crystallization.

2. From o-chloroaniline via Obtained by diazotization and substitution. Add o-chloroaniline and hydrochloric acid to the reaction pot and mix evenly below 25°C. Cool to 0°C, add sodium nitrite solution dropwise, keep the temperature at 0-5°C, stop adding when the potassium iodide starch solution turns blue, and obtain a diazonium salt solution. Add cuprous chloride to the hydrochloric acid solution at 0 to 5°C, stir and mix thoroughly, raise the temperature to 60 to 70°C, react for 1 hour, cool and let stand for layering, and repeatedly add 5% sodium hydroxide and water to the oil layer. Wash, dehydrate with anhydrous calcium chloride, fractionate, and collect the 177-183°C fraction to obtain the finished product.

Purpose
1. It can be used as a solvent for wax, gum, resin, tar, rubber, oil and asphalt, etc., and is used in the production of dyes Shilin black and Shilin yellow brown, high-grade pigments, the drug chlorhexidine, and polyurethane raw material TDI. The solvent o-dichlorobenzene is used. This product can be used as an insecticide for termites, locusts, and borers. It can be used in the production of triclofenac, thorastrobin, and Xinyanling. It can also be used in the synthesis of catechol, fluorochloroaniline, 3,4 -Dichloroaniline and o-phenylenediamine. As an anti-rust agent and degreaser, it can remove carbon and lead from engine parts, remove coatings on metal surfaces without corroding the metal, and remove sulfur from lighting gases.
2. It can be used as an ingredient in metal polishing agents; in the dye industry, it is also used to make vat blue CLB and vat blue CLG; polymer wet spinning solvent to reduce fiber thermal shrinkage; epoxy resin dilution Agent, coolant, heat exchange medium; pharmaceutical long-acting sulfa, etc.
3. It has strong dissolving ability, good permeability and slow evaporation rate, so it is used as an additive for nitrocellulose spray paint and varnish and a solvent for wax and tar. Also used as a degreasing agent in the metal, leather, automotive, and aircraft industries. A mixture with a small amount of higher alcohol is used as a rust inhibitor. Others are also used as intermediates and organic heat carriers in the manufacture of refrigerants, pesticides, fumigants, preservatives, dyes, medicines, etc.
4. Used in organic synthesis, dye manufacturing, cleaning agents, and solvents. Also used in the preparation of pesticides, cleaning agents and solvents.
5. It is widely used as a solvent and preservative for organic matter and non-ferrous metal oxides, and also as a pesticide. [31]

微信扫一扫打赏
