Overview[1][2]
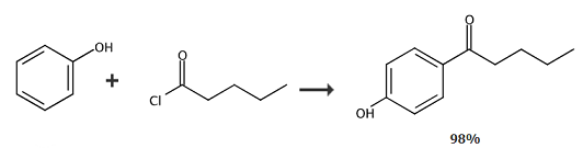
P-hydroxybenzopentanone, also called 4-n-valerylphenol, is an organic intermediate and pharmaceutical intermediate that can be used to prepare acylphenoxyacetic acid compounds. It can be prepared in one step from phenol and n-valeryl chloride.
Preparation[1-2]
Report 1,

Put phenol (0.94g, 10mmol) into a 50mL three-necked flask, ice bath to 0°C, add 10mL (114mmol) of trifluoromethanesulfonic acid under N2 conditions, normal Valeryl chloride (10.9mmol), react at 0°C for 1 hour, remove the ice bath, react at room temperature for another 1 hour, add ice water, extract with ethyl acetate (40mL×3), combine the organic phases, and wash with 1N hydrochloric acid solution (30 mL Ethyl acetate = 5:1) to obtain p-hydroxybenzopentanone.
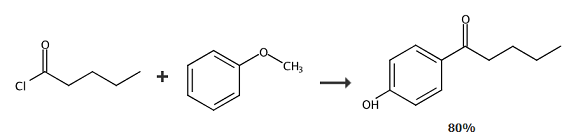
Report 2,

Add 250L benzene and 60kg aluminum trichloride into a 500L glass-lined kettle, add 33.4kg anisole under cooling, open the hydrogen chloride absorption valve, close the exhaust valve, and start adding 40kg valeryl chloride dropwise when the temperature drops to 5°C. , control the temperature to 50°C and complete the addition in 1.5 hours. After the dropwise addition, continue stirring for half an hour and add 28kg of aluminum trichloride. Open the evacuation valve and slowly heat to reflux. The reflux time is 8 hours and stop heating. Cool the water to 30°C, cool down the freezing liquid, and add hydrochloric acid dropwise to absorb it. The temperature should not exceed 80°C. After the hydrolysis is completed, add 100L of water. Separate the water layer, wash the benzene layer with 80L×3 water at about 50°C, and separate the purified water layer. The benzene layer is extracted with a prepared 20% sodium hydroxide solution. The alkali solution is added to 80L hydrochloric acid-80L water to neutralize the pH value to about 1. Stir and lower the temperature to 10°C. Spin dry three times and rinse with about 50L of water each time. , and then spin dry to get the crude product, which is then dried. Add 0.8 times ethanol, 10% activated carbon, and 5% silica gel to the crude product, heat and reflux for half an hour, press filter while hot, water-cool the filtrate to 40°C, cool the frozen liquid to -15°C, and keep it at this temperature for 1 hour, spin dry, and obtain The product is dried at 45°C for 4 hours to obtain p-hydroxybenzopentanone. The theoretical output is 55.2kg, the yield is >80%, the actual output is >43.2kg, and it is a white solid. The purity of liquid chromatography is >99.5%.
Main reference materials
[1][China invention, China invention authorization] CN201210222626.8 new antibacterial agents acyl phenoxyacetic acid, acyl cinnamic acid and their preparation method
[2] [Chinese invention, Chinese invention authorization] CN200910264373.9 A production method of amylcyclohexylbiphenyl cyanide

微信扫一扫打赏
