
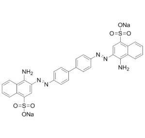
| English name: | Congo Red | ||
| Common aliases: | Congo red BS;3,3′-[[1,1′-biphenyl]-4,4′-ylbis(azo)]bis(4-aminonaphthalene-1-sulfonate Disodium acid); Congo red; Direct Scarlet; Direct Red 28; Sodium diphenyl-4,4-bis[(azo-2)-1-aminonaphthalene-4-sulfonate; Fengguo Red; Direct Scarlet 4B ;Direct Congo Red | ||
| CAS number: | 573-58-0 | Boiling point: | N/A |
| MDL number: | Melting point: | >360 °C(lit.) | |
| Molecular formula: | C32H22N6Na2O6S2 | Flash point: | N/A |
| Molecular weight: | 696.66 | Density: | 0.995 g/mL at 25 °C |
| Physical and chemical properties: | Storage conditions: | ||

微信扫一扫打赏
