
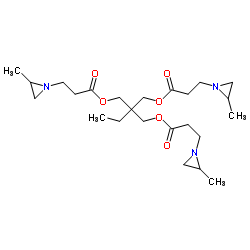
| English name: | Trimethylolpropane tris(2-methyl-1-aziridinepropionate) | ||
| Common aliases: | Trimethylolpropane-tris[3-(2-methylaziridinyl)acrylate];Trimethylolpropane-tris[3-(2-methylaziridinyl) base) propionate]; cross-linking agent SC-100; aziridine cross-linking agent HD-100A | ||
| CAS number: | 64265-57-2 | Boiling point: | |
| MDL number: | Melting point: | ||
| Molecular formula: | C24H41N3O6 | Flash point: | |
| Molecular weight: | 467.60 | Density: | |
| Physical and chemical properties: | Storage conditions: | Sealing | |

微信扫一扫打赏
