Background and overview[1]
2-Cyano-4-nitro-6-bromoaniline is a very important disperse dye intermediate and an important raw material for the synthesis of disperse dyes such as disperse blue 183.
Preparation[1]
(1) Synthesis of 2-cyano-4-nitroaniline:
A1. Put 100g o-chlorobenzonitrile into 333g sulfuric acid medium, then add mixed acid dropwise, and perform nitrification at 5-10°C to obtain nitrate; the mixed acid is HNO3 and H2SO4 is mixed with a mass percentage of 0.5:1;
A2. Add water to hydrolyze the nitrate in step A1, and then filter it to obtain the nitrification material;
A3. Dissolve the nitration material in step A2 in 400g chlorobenzene to obtain a nitric chlorine mixture;
A4. Carry out an ammonolysis reaction between the nitric chlorine mixture and liquid ammonia in step A3. After the reaction reaches the end point, distill and recover the solvent at 80°C; the ammonolysis reaction temperature is 110°C, and the ammonolysis reaction pressure is 2.6MPa; reaction The end point is measured in a liquid chromatograph;
A5. Filter the solvent in step A4 and wash it with water until neutral to obtain a wet product, namely 2-cyano-4-nitroaniline wet product;
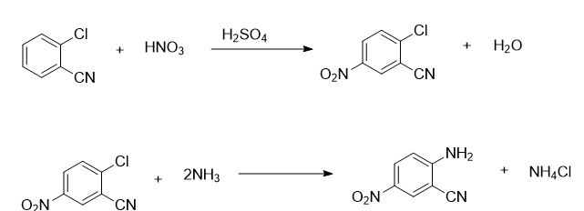
The reaction equation in step (1) is:

It can be seen that the sulfuric acid medium essentially acts as a solvent and provides acidic conditions for the reaction, and sulfuric acid does not participate in the reaction.
(2) Synthesis of 2-cyano-4-nitro-6-bromoaniline:
B1. Weigh 100g of 2-cyano-4-nitroaniline prepared in step A5 and put it into 20g of sulfuric acid medium, then dropwise add hydrogen bromide and 50g of hydrogen peroxide to react;
B2. After the reaction in step B1 reaches the endpoint through endpoint control, filter it to obtain the wet product of 2-cyano-4-nitro-6-bromoaniline.
The reaction equation in step (2) is:

Similarly, the sulfuric acid medium essentially acts as a solvent, providing acidic conditions for the reaction to proceed, and sulfuric acid does not participate in the reaction.
References
[1] [Chinese invention, Chinese invention authorization] CN201410524535.9 A synthesis process of 2-cyano-4-nitro-6-bromoaniline

微信扫一扫打赏
