Toluene diisocyanate manufacturer Knowledge Preparation and application of 3-bromo-2-fluorobenzonitrile_Kain Industrial Additive

Preparation and application of 3-bromo-2-fluorobenzonitrile_Kain Industrial Additive

Background and overview[1]

3-Bromo-2-fluorobenzonitrile is an organic intermediate that can be prepared from 3-bromo-2-fluorobenzoic acid in two steps. 3-Bromo-2-fluorobenzonitrile can be used as a pharmaceutical intermediate for the preparation of STK4 inhibitors.

Preparation[1]

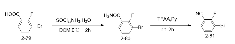
Step 1, preparation of 3-bromo-2-fluorobenzamide (2-80)

3-Bromo-2-fluorobenzoic acid (2-79, 400 mg, 1.83 mmol) and SOCl2 (4.39 mg, 3.66 mmol) were dissolved in DCM (5 mL) at room temperature. The mixture was stirred for 1 h, and then ammonia (1 mL) was added. The resulting mixture was then stirred at room temperature for 2 h. After the reaction was completed, the resulting mixture was washed with water and extracted with ethyl acetate (150 mL × 3). The combined organic phases were concentrated under reduced pressure, and the resulting residue was purified by silica gel chromatography (petroleum ether/ethyl acetate = 1/1) to obtain intermediate 2-80 (white solid, 300 mg, 75% yield ). LCMS (m/z): 218 [M+H]+.

Step 2, preparation of 3-bromo-2-fluorobenzonitrile (2-81)

3-Bromo-2-fluorobenzamide (2-80, 260 mg, 1.2 mmol), TFAA (471 mg, 2.4 mmol) and pyridine (Py) (474 ​​mg, 6.0 mmol) were dissolved in diox The mixture in alkane (5 mL) was stirred at room temperature for 4 h. After the reaction was completed, the resulting mixture was washed with water and extracted with ethyl acetate (150 mL × 3). The combined organic phases were concentrated under reduced pressure, and the resulting residue was purified by silica gel chromatography (petroleum ether/ethyl acetate = 1/1) to obtain intermediate 2-81 (white solid, 100 mg, 42% yield).

Apply[1]

3-Bromo-2-fluorobenzonitrile can be used to prepare 3-(6-amino-5-(1-oxo-1,2,3,4-tetrahydroisoquinolin-6-yl)pyridine- 3-yl)-2-fluorobenzonitrile (I-34). I-34 is an inhibitor of STK4 (also known as MST1), a serine-threonine kinase that is part of the Hippo signaling pathway. STK4 is involved in multiple cellular processes, including proliferation, transport, apoptosis, immune response, and stress response.

References

[1] From PCT Int. Appl., 2016161145, 06 Oct 2016

This article is from the Internet, does not represent the position of Toluene diisocyanate reproduced please specify the source.https://www.allhdi.com/archives/3307

author:

Previous article
Next article
Contact Us

Contact us

+86 - 152 2121 6908

Online consultation: QQ交谈

E-mail: sales@newtopchem.com

Working hours: Monday to Friday, 9:00-17:30, closed on holidays
Follow wechat
Scan wechat and follow us

Scan wechat and follow us

Back to top
Home
E-mail
Products
Search