Anisic acid
[Overview] P-methoxybenzoic Acid is also called anisic acid. P-methoxybenzoic acid is an intermediate for many drugs and spices. For example, it is an intermediate of aniracetam, a new high-efficiency, low-toxicity, intelligence-improving drug, and an important intermediate of the antiarrhythmic drug amiodarone.
【Introduction】
Chinese name: p-methoxybenzoic acid
English name: P-methoxybenzoic Acid; Anisic Acid
Alias: Anisic acid
Molecular formula: C8H8O3
Molecular weight: 152.16
CAS number: 100-09-4;1335-08-6
Structural formula:

Figure 1 shows the molecular structure of anisic acid.
Physical and chemical properties: Precipitates from water as colorless needle-like crystals. Relative density 1.385. Melting point 110 ℃. Boiling point: 275~280 ℃, 170~172 ℃ (1.333×103 Pa). Slightly soluble in water, soluble in ethanol, ether, chloroform, ethyl acetate and benzene. This product is irritating.
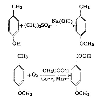
[Preparation] The general preparation method of p-methoxybenzoic acid is to use p-hydroxybenzoic acid under alkaline conditions and methylation with dimethyl sulfate. Since p-hydroxybenzoic acid has a carboxyl group, when methylating It consumes more alkali, needs to be acidified with acid after the reaction, and p-hydroxybenzoic acid is also more expensive. It has been reported that p-hydroxybenzaldehyde can be prepared by direct oxidation of p-cresol. Therefore, the following process was designed to synthesize p-methoxybenzoic acid.
The reaction mechanism is as follows:

Figure 2 shows the synthesis route of anisic acid.
Theoretically, it is very suitable for reaction in a continuous pipeline reactor: the dissolved alkaline aqueous solution of parahydroxybenzoic acid and dimethyl sulfate enter the first-level pipeline reactor from two ports at the same time, and flow and mix in the first-level pipeline. The methylation reaction is carried out at the same time, and the complete reaction can be achieved before flowing out of the primary pipeline. Then the solution and the liquid alkali enter the heated secondary pipeline reactor at the same time, and the saponification reaction is carried out in the secondary reactor. The solution after the reaction is complete Collect it centrally into the acidification kettle for acidification and separation to obtain p-methoxybenzoic acid. The traditional process involves multi-step reactions, and the operation control is complicated. The materials in the kettle are not easy to mix, the reaction rate is slow, and the transfer process is susceptible to external contamination. In order to fully react, the dimethyl sulfate raw materials must far exceed the theoretical amount. This process uses multiple pipeline reactors and uses continuous pipeline reactors. The raw materials can be reacted in small quantities and continuously, and the process is easy to control. At the same time, the ratio of raw materials can also be optimized to achieve full reaction, which greatly shortens the reaction time and production capacity. Improved; the entire reaction process from raw material input to finished product output is in a sealed environment, and there is no external pollution in the process, which is conducive to improving the quality of the finished product; in addition, from a safety perspective, due to trace reactions, the process is simple and easy to control, which greatly improves the safety factor.
[Isomerism] Methoxybenzoic acid, relative molecular mass 152.16. There are three isomers, namely o-methoxybenzoic acid, m-methoxybenzoic acid and p-methoxybenzoic acid.
O-methoxybenzoic acid, also known as o-anisic acid and methyl salicylate. Those precipitated from water are white flake crystals. Melting point 101 ℃. Boiling point 200 ℃. Slightly soluble in cold water, soluble in hot water, ethanol, ether, benzene and chloroform.
Meta-methoxybenzoic acid, also known as m-anisic acid. Colorless crystal. Melting point 106~108 ℃. Boiling point 170~172 ℃ (1.333×103 Pa). Insoluble in water, soluble in ethanol and ether. p-Methoxybenzoic acid, also known as p-anisic acid.
[Use] All three isomers can be used as spice intermediates, pharmaceutical raw materials, disinfectants, and organic synthesis intermediates.
【References】
[1] Yan Tingshuai, Yang Qiaomei. Preparation of p-methoxybenzoic acid in continuous pipeline reactor[J]. Chemical Engineering Design Communications, 2017, 43(02):198+202.
[2] Meng Xiangjun, Zhang Baofa, Ge Xin, Wang Yuhuan. Preparation of p-methoxybenzoic acid [J]. Chemistry World, 1995, (02): 83-84.
[3] Editor-in-chief An Jiaju; co-editors Bao Wenchu, Wang Boying, and Li Shunping. Dictionary of Practical Fine Chemicals. Beijing: China Light Industry Press. 2000. Pages 353-354.

微信扫一扫打赏
