Latest article
Introduction to di-tert-butyl-p-cresol, the main antioxidant
Antioxidants are food additives that can prevent, inhibit or delay food oxidation to improve food stability and extend storage period. Antioxidants are called antioxidants. Oxidation affects all oil-c…
Analysis of the properties and uses of commonly used food grade thickeners
Thickeners are a type of additive that can increase the viscosity of food or form a gel. Thickening agent can make food sticky, smooth and refreshing, with a special flavor and water retention effect.…
Properties and types of ion exchange resins
Ion exchange resin is an insoluble polymer electrolyte composed of a cross-linked polymer skeleton and an ionizable group. It can carry out an exchange reaction with ions with the same charge in the l…
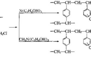
Kain Chemical: Synthesis method of ion exchange resin
The synthesis of strong acid cation exchange resin is briefly introduced into two types: polymerization type and condensation type. ①Polymerization type: This method uses styrene and diethyl benzene t…
Performance and manufacturing process of polymer separation membrane
Polymer membrane uses external energy or position difference as the driving force to separate, classify, purify and enrich the solutes and solvents of two-component or multi-component solutions. The m…
Separation technology and application of polymer reverse osmosis membrane and ultrafiltration membrane
Reverse osmosis membranes and ultrafiltration membranes are currently used in many fields. In medicine, the preparation of medical water and medical devices, such as hemodialysis membranes, can remove…
Kain Industrial Additives: How to choose a suitable reverse osmosis scale inhibitor
Many factories use reverse osmosis scale inhibitors because they can increase water production and water quality, thereby reducing costs. However, many people do not know how to choose reverse osmosis…
Kain Industrial Additives: How to choose disperse dye leveling agent?
Disperse dyes are non-ionic dyes with low water solubility. High temperature and high pressure are generally used for dyeing. In order to achieve uniform dispersion of dyeing, leveling agents are gene…
The role of water-based epoxy curing agent in epoxy flooring
Water-based epoxy curing agent floor paint is a coating composed of epoxy resin and curing agent. When preparing water-based epoxy floor coatings, the choice of curing agent is crucial. Water-based ep…
What is iron oxide green pigment? Characteristics of iron oxide green pigment
There are thousands of pigments with countless uses. Among paints, it is basically a usage scene. There are fixed combinations of several paints, especially when doing indoor and outdoor decoration. A…

