Latest article
Application and preparation of 3,5-dimethylbromobenzene_Kain Industrial Additive
Background and overview[1] 3,5-Dimethylbromobenzene is a very important fine chemical raw material. The traditional production process is complicated and the production conditions are harsh. According…
Application of 3,5-dicarboxybenzeneboronic acid_Kain Industrial Additive
Background and overview[1] 3,5-dicarboxyphenylboronic acid can be used as a pharmaceutical synthesis intermediate. It is an important intermediate for the synthesis of drugs, pesticides, liquid crysta…
Preparation of 3,5-bis(trifluoromethyl)phenyl isothiocyanate_Kain Industrial Additive
Background and overview[1] 3,5-Bis(trifluoromethyl)phenyl isothiocyanate is mainly used as an intermediate in pharmaceutical synthesis, such as the preparation of a series of thiourea compounds contai…
Preparation method of 4-iodobenzenesulfonyl chloride_Kain Industrial Additive
Background and overview[1] 4-Iodobenzenesulfonyl chloride is an aromatic hydrocarbon derivative and can be used as a pharmaceutical synthesis intermediate. Preparation method[1] 4-Iodobenzenesulfonyl …
Application research and preparation method of 3,5-diaminobenzoic acid_Kain Industrial Additive
Background and overview[1] 3,5-Diaminobenzoic acid is an important chemical intermediate that can be used to synthesize various pharmaceutical and dye products. For example, a series of yellow reactiv…
Preparation and application of 4-aminophenylboronic acid_Kain Industrial Additive
Background and overview[1-3] 4-Aminophenylborate hydrochloride is an organic intermediate that can be prepared from dicatechol and 4-nitrobromobenzene as starting materials. Preparation[1] For the kno…
Study on the preparation and application of 4-hydroxyphenylboronic acid_Kain Industrial Additives
Background and overview[1][2] 4-Hydroxyphenylboronic acid is an organic intermediate that can be prepared from 4-hydroxyphenylboronic acid in three steps. Can be used in coupling reactions. Preparatio…
Study on the preparation method and application of 5,5-dimercapto-2,2-dinitrobenzoic acid_Kain Industrial Additive
Background and overview[1] It is also called DTNB (5,5′-Dithiobis-(2-nitrobenzoic acid)), which is the abbreviation of 5,5-dithiobis-2,2-dinitrobenzoic acid. DTNB is widely used in Analytical re…
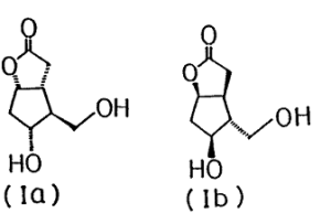
苯甲酰科里内酯的制备和异构体分析_凯茵工业添加剂
背景及概述[1][2] 前列腺素是一类重要的内源性生理活性物质,是多种生理过程的重要介质,具有较高的药理活性,临床上前列腺素类药物主要是通过人工合成而来。苯甲酰科里内酯(CoreyLactoneBenzoate)是合成前列腺素类药物重要中间体,其分子式为C15H16O5,化学名为5-(苯甲酰氧基)六氢-4-(羟基甲基)-2H-环戊并[b]呋喃-2-酮,通常包括(±)苯甲酰科里内酯、(-)苯甲酰科里…
Application of 2,4-dichlorophenoxyacetic acid_Kain Industrial Additive
Background[1-3] 2,4-Dichlorophenoxyacetic acid (2,4-D) is a common systemic herbicide used to control broadleaf weeds. It is the most widely used herbicide in the world and the third most used in Nort…

