Latest article
MT02819 Hydroiodic acid 10034-85-2
English name: Hydriodic acid Common aliases: Hydrogen iodide; Hydroiodide; Hydroiodic acid; Hydroiodic acid CAS number: 10034-85-2 Boiling point: MDL number: Melting point: Molecular formula: HI Flash…
MT02820 citracinic acid 99-11-6
English name: Citrazinic Acid Common aliases: 2,6-dihydroxypyridine-4-carboxylic acid| 2,6-dihydroxypyridine-4-carboxylic acid| 2,6-dihydroxy-4-pyridinecarboxylic acid| 2,6- Dihydroxyisonicotinic acid…
MT02821L-lysine hydrochloride 657-27-2
English name: L-Lysine hydrochloride Common aliases: L-lysine hydrochloride; lysine hydrochloride; L-lysine hydrochloride; lysine HCL; L-lysine monohydrochloride; (S)-2, 6-Diaminocaproic acid hydrochl…
MT028222-(3,5-dibromo-2-pyridylazo)-5-diethylaminophenol 14337-54-3
English name: 2-(3,5-Dibromo-2-pyridylazo)-5- (diethylamino)-phenol Common aliases: 2-[(3,5-dibromo-2-pyridyl)azo]-5-(diethylamino)phenol CAS number: 14337-54-3 Boiling point: MDL number: Melting poin…
MT02823 dextran 9004-54-0
English name: Dextran Common aliases: Dextran; dextran 40; erythropoietin (EPO); dextran high molecular weight dextran CAS number: 9004-54-0 Boiling point: MDL number: Melting point: Molecular formula…
MT02824 p-Toluene acetonitrile 2947-61-7
English name: 4-Methylbenzyl cyanide Common aliases: p-Toluene acetonitrile; p-Toluene acetonitrile; 4-methylbenzyl cyanide; p-toluene acetonitrile; p-toluene acetonitrile CAS number: 2947-61-7 Boilin…
MT028252,2′-thiodiacetic acid 123-93-3
English name: Thiodiglycolic Acid Common aliases: Thiodiglycolic acid; Thiodiacetic acid; Thioglycolic acid; Thioglycolic acid; Thiodiacetic acid; Thioglycolic acid CAS number: 123-93-3 Boiling point:…
MT02826 Twain 209005-64-5
English name: Tween 20 Common aliases: Emulsifier T-20; Tween 20; Polyoxyethylene sorbitan laurate; Polyoxyethylene sorbitan laurate CAS number: 9005-64-5 Boiling point: MDL number: Melting point: Mol…
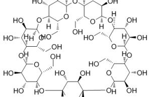
MT02827 β-Cyclodextrin 7585-39-9
English name: β-Cyclodextrin Common aliases: β-cyclodextrin AR98.0%; β-cyclodextrin; beta-cyclodextrin; BETA-cyclodextrin; cyclomaltoheptaose CAS number: 7585-39-9 Boiling point: MDL number: Melting p…
MT02828 Isooctyl stearate 27214-90-0
English name: Di-n-octyl Sebacate Common aliases: Diisooctyl sebacate CAS number: 27214-90-0 Boiling point: MDL number: Melting point: Molecular formula: C26H50O4 Flash point: Molecular weight: 426.67…

