Latest article
MT027772-Chloro-5-chloromethylpyridine 70258-18-3
English name: 2-Chloro-5-chloromethylpyridine Common aliases: 2-Chloro-5-(chloromethyl)pyridine | Dichloropentachloromethylpyridine | 2,5-Dichloromethylpyridine CAS number: 70258-18-3 Boiling point: 2…
MT027782-Chloropyridine 109-09-1
English name: 2-Chloropyridine Common aliases: O-chloropyridine;2-chloropyridine;2-chloropyridine CAS number: 109-09-1 Boiling point: 170.0±0.0 °C at 760 mmHg MDL number: Melting point: -46 °C Molecul…
MT027792-Nitroiminoimidazolidine 5465-96-3
English name: 2-Nitroamino-2-imidazoline Common aliases: N-nitroiminoimidazolidine | 2-nitroamino-2-imidazoline | imidazolidine CAS number: 5465-96-3 Boiling point: 255.1±23.0 °C at 760 mmHg MDL numbe…
MT02780N, N-diethylaniline 91-66-7
English name: N,N-Diethylaniline Common aliases: Diethylaniline | Diethylaminobenzene | N,N-diethylaniline | Diethylaniline CAS number: 91-66-7 Boiling point: 213.5±9.0 °C at 760 mmHg MDL number: Melt…
MT02781N, N-dimethyl o-toluidine 609-72-3
English name: N,N-Dimethyl-o-toluidine Common aliases: 2-Methyl-N,N-dimethylaniline | N,N’-dimethyl-o-toluidine | 2-Dimethylaminotoluene | N,N”-dimethyl Base-o-toluidine CAS number: 609-72…
MT02782 Allyl diglycol dicarbonate ADC142-22-3
English name: Diallyl 2,2′-oxydiethyl dicarbonate Common aliases: Diglyoxylate diallyl AR98.0%; CR-39 resin spectacle lens; 2,5,8,10-tetraoxatridecane-9-oxo-12- 2-propenyl acetate (ADC) CAS numb…
MT02763 Anhydrous lithium acetate 546-89-4
English name: Lithium Acetate Common aliases: Anhydrous lithium acetate; lithium acetate CAS number: 546-89-4 Boiling point: 117.1oC at 760 mmHg MDL number: N/A Melting point: 283-285 °C(lit.) Molecul…
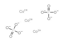
MT02783 Cobalt phosphate 13455-36-2
English name: Cobalt(II) Phosphate Common aliases: Cobalt (II) phosphate CAS number: 13455-36-2 Boiling point: 158oC at 760mmHg MDL number: Melting point: Molecular formula: Co3O8P2 Flash point: Molec…
MT02764 diacetone acrylamide 2873-97-4
English name: Diacetone acrylamide Common aliases: N-(1,1-dimethyl-3-oxobutyl)acrylamide AR99.0%; diacetone acrylamide; N-(1,1-dimethyl-3 -Oxobutyl)allylamide CAS number: 2873-97-4 Boiling point: 325.…
MT02765 Sodium diethyldithiocarbamate 148-18-5
English name: Sodium diethyldithiocarbamate Common aliases: diethyldithiocarbamate sodium salt; diethylamine dithiocarbamate sodium salt; DDTC sodium salt; disulforazole; disulfocarbamate sodium; diet…

