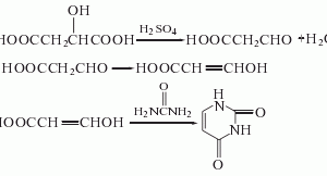
Uracil Uracil

Structural formula Business number 01E1 Molecular formula C4H4N2O2 Molecular weight 112.09 label 2,4-Dihydroxypyrimidine, 2,4(1H,3H)-Pyrimidinedione, 2,4-Dihydroxypyrimidine, 2,4-Pyrimidinediol, Heter…

Contact Us

Contact us

+86 - 152 2121 6908

Online consultation: QQ交谈

E-mail: sales@newtopchem.com

Working hours: Monday to Friday, 9:00-17:30, closed on holidays
Follow wechat
Scan wechat and follow us

Scan wechat and follow us

Back to top
Home
E-mail
Products
Search