Thymolphthalein Thymolphthalein

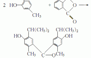
Structural formula Business number 03JP Molecular formula C28H30O4 Molecular weight 430.54 label 5′,5”-Diisopropyl-2′,2”-dimethylphenolphthalein, Thymolphthalein, Thymephenolph…

Contact Us

Contact us

+86 - 152 2121 6908

Online consultation: QQ交谈

E-mail: sales@newtopchem.com

Working hours: Monday to Friday, 9:00-17:30, closed on holidays
Follow wechat
Scan wechat and follow us

Scan wechat and follow us

Back to top
Home
E-mail
Products
Search