Thymol Blue Thymol Blue

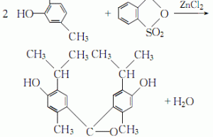
Structural formula Business number 01L7 Molecular formula C27H30O5S Molecular weight 466.59 label 4,4′-(3H-2,1-benzoxthiol-3-ylidene)bis[5-methyl-2-(1-methylethyl)phenol]-S,S-dioxide , thymol bl…

Contact Us

Contact us

+86 - 152 2121 6908

Online consultation: QQ交谈

E-mail: sales@newtopchem.com

Working hours: Monday to Friday, 9:00-17:30, closed on holidays
Follow wechat
Scan wechat and follow us

Scan wechat and follow us

Back to top
Home
E-mail
Products
Search