Synthesis method of tetrachlorophthalic anhydride_Kain Industrial Additive
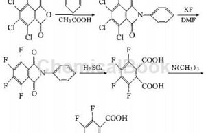
Background and overview[1] Tetrachlorophthalic anhydride, also known as tetrachlorophthalic anhydride or tetrachlorophthalic anhydride (TCPA), is a reactive flame retardant, widely used in unsaturated…

