Rhodamine B Rhodamine B

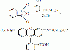
Structural formula Business number 01SJ Molecular formula C28H31ClN2O3 Molecular weight 479.01 label Rhodamine 610; Rose Red B; Rhodamine B; Rhodamine B; Rhodamine B; Blue Light Basic Rhodamine, Basic…

Contact Us

Contact us

+86 - 152 2121 6908

Online consultation: QQ交谈

E-mail: sales@newtopchem.com

Working hours: Monday to Friday, 9:00-17:30, closed on holidays
Follow wechat
Scan wechat and follow us

Scan wechat and follow us

Back to top
Home
E-mail
Products
Search