Preparation of p-chlorostyrene_Kain Industrial Additive
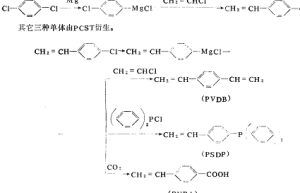
Background Parachlorostyrene, also called 4-chlorostyrene, p-chlorostyrene (referred to as PCST), is an intermediate in organic synthesis and pharmaceutical research and development, and can be used t…

