Preparation of 4-(4-methylpiperazine)aniline_Kain Industrial Additives
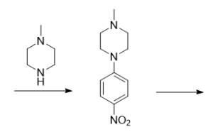
Background and overview[1] 4-(4-methylpiperazine)aniline can be used as a pharmaceutical intermediate. It can be prepared by reducing p-fluoronitrobenzene with N-methylpiperazine after nucleophilic su…

