Preparation of 2-hydroxy-5-chlorobenzophenone_Kain Industrial Additive
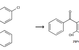
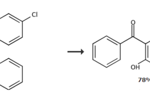
Background and overview[1] 2-Hydroxy-5-chlorobenzophenone can be used as a pharmaceutical synthesis intermediate. It can be prepared from 4-chlorophenyl benzoate as the reaction raw material, or by th…
Preparation of 2-hydroxy-5-chlorobenzophenone_Kain Industrial Additive
Background and overview[1] 2-Hydroxy-5-chlorobenzophenone can be used as a pharmaceutical synthesis intermediate. It can be prepared from 4-chlorophenyl benzoate as the reaction raw material, or by th…

