Preparation of 2-bromo-6-fluorophenol_Kain Industrial Additive
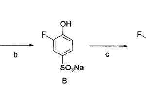
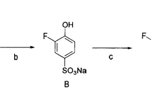
Background and overview[1] 2-Bromo-6-fluorophenol, also called 2-fluoro-6-bromophenol, can be used as a pharmaceutical synthesis intermediate. Using 2-fluorophenol as raw material, through sulfonation…
Preparation of 2-bromo-6-fluorophenol_Kain Industrial Additive
Background and overview[1] 2-Bromo-6-fluorophenol, also called 2-fluoro-6-bromophenol, can be used as a pharmaceutical synthesis intermediate. Using 2-fluorophenol as raw material, through sulfonation…

