Preparation method of phenyhexanoic acid_Kain Industrial Additive
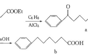
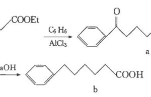
Background and overview[1][2] 6-Phenylhexanoic acid is an acidic organic compound and is used as a pharmaceutical intermediate. It can be prepared from 2-benzoylcyclopentanone in two steps. Preparatio…
Preparation method of phenyhexanoic acid_Kain Industrial Additive
Background and overview[1][2] 6-Phenylhexanoic acid is an acidic organic compound and is used as a pharmaceutical intermediate. It can be prepared from 2-benzoylcyclopentanone in two steps. Preparatio…

