Preparation method and application of 2-methoxy-5-sulfonamide benzoic acid methyl ester_Kain Industrial Additive
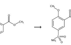
Background and overview[1] Methyl 2-methoxy-5-sulfonamide benzoate is an important intermediate for the antipsychotic drugs sulpiride and levosulpiride. Its synthesis currently uses salicylic acid thr…
Preparation method and application of 2-methoxy-5-sulfonamide benzoic acid methyl ester_Kain Industrial Additive
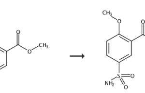
Background and overview[1] Methyl 2-methoxy-5-sulfonamide benzoate is an important intermediate for the antipsychotic drugs sulpiride and levosulpiride. Its synthesis currently uses salicylic acid thr…

