Preparation and application of 4-chloroaniline_Kain Industrial Additive
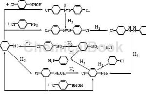
Background and overview[1][2] 4-Chloroaniline (4-chloroaniline 4-chloroaniline) is a white or yellow crystal with a melting point of 341~344K and a boiling point of 505K. It is easily soluble in ethan…

