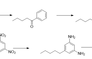
Preparation and application of 3,5-dihydroxypentylbenzene_Kain Industrial Additive
Background and overview[1-2] 3,5-Dihydroxypentylbenzene is an important pharmaceutical intermediate, which was first obtained by degrading lichenic acid (also known as D-usroleic acid and amylyliscoli…
Preparation and application of 3,4-dihydroxyphenylacetic acid methyl ester_Kain Industrial Additive
Background and overview[1] Methyl 3,4-dihydroxyphenylacetate can be used to prepare hydroxytyrosol. Hydroxytyrosol, whose chemical name is 3,4-Dihydroxyphenylethanol, is a hydroxyaromatic compound. Na…
Preparation and application of 3,4-dihydroxyphenylacetic acid methyl ester_Kain Industrial Additive
Background and overview[1] Methyl 3,4-dihydroxyphenylacetate can be used to prepare hydroxytyrosol. Hydroxytyrosol, whose chemical name is 3,4-Dihydroxyphenylethanol, is a hydroxyaromatic compound. Na…
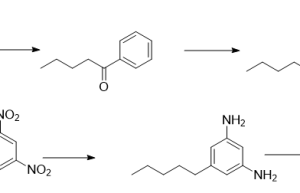
Preparation and application of 3,5-dihydroxypentylbenzene_Kain Industrial Additive
Background and overview[1-2] 3,5-Dihydroxypentylbenzene is an important pharmaceutical intermediate, which was first obtained by degrading lichenic acid (also known as D-usroleic acid and amylyliscoli…

