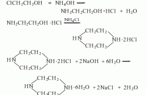
Piperazine hexahydrate

Structural formula Business number 03V7 Molecular formula C4H10N2·6H2O Molecular weight 194.23 label Diethylenediamine hexahydrate, Piperazine hexahydrate, Piperazine hexahydrate, Diethylenediamine he…

Contact Us

Contact us

+86 - 152 2121 6908

Online consultation: QQ交谈

E-mail: sales@newtopchem.com

Working hours: Monday to Friday, 9:00-17:30, closed on holidays
Follow wechat
Scan wechat and follow us

Scan wechat and follow us

Back to top
Home
E-mail
Products
Search